HL Paper 2
Ozone, \({{\text{O}}_{\text{3}}}\), in the upper atmosphere prevents harmful UV radiation reaching the surface of the Earth.
State the shape of the ozone molecule and estimate the bond angle.
Shape:
Bond angle:
State the hybridization of the central oxygen atom.
In terms of \(\sigma \) and \(\pi \) bonds, describe the two oxygen-oxygen bonds in the Lewis structure.
The two oxygen-oxygen bonds in ozone are in fact of equal length. Deduce why this is the case and how the length of these would compare to oxygen-oxygen bond lengths in hydrogen peroxide, \({{\text{H}}_{\text{2}}}{{\text{O}}_{\text{2}}}\), and in the oxygen molecule, \({{\text{O}}_{\text{2}}}\).
Markscheme
Shape: non-linear / bent / v-shaped / angular;
Bond angle: 117°;
Accept values from 115° to 119° / just/slightly less than 120°.
\({\text{s}}{{\text{p}}^{\text{2}}}\);
one is just one \(\sigma \) and one has one \(\sigma \) and one \(\pi \);
Accept “both bonds comprise one \(\sigma \) and a shared \(\pi \) “/ OWTTE.
delocalization occurs / delocalized \(\pi \)-bond / (has two) resonance structures / it is a resonance hybrid;
length intermediate between \({{\text{H}}_2}{{\text{O}}_2}\) and \({{\text{O}}_2}\) / OWTTE;
Examiners report
Many students scored well on this because, in order that candidates were not too heavily penalised, ECF was applied to the later parts of the question based on the number of electron domains and bonding represented by the Lewis diagram drawn in part (a). Hence, although quite a few students incorrectly tried to reflect the delocalization of ozone in their Lewis structures in part (a), their answers to the later parts of the question were correct. In the final part quite a number of students appeared unable to deduce that hydrogen peroxide contains a single O–O bond.
Many students scored well on this because, in order that candidates were not too heavily penalised, ECF was applied to the later parts of the question based on the number of electron domains and bonding represented by the Lewis diagram drawn in part (a). Hence, although quite a few students incorrectly tried to reflect the delocalization of ozone in their Lewis structures in part (a), their answers to the later parts of the question were correct. In the final part quite a number of students appeared unable to deduce that hydrogen peroxide contains a single O–O bond.
Many students scored well on this because, in order that candidates were not too heavily penalised, ECF was applied to the later parts of the question based on the number of electron domains and bonding represented by the Lewis diagram drawn in part (a). Hence, although quite a few students incorrectly tried to reflect the delocalization of ozone in their Lewis structures in part (a), their answers to the later parts of the question were correct. In the final part quite a number of students appeared unable to deduce that hydrogen peroxide contains a single O–O bond.
Many students scored well on this because, in order that candidates were not too heavily penalised, ECF was applied to the later parts of the question based on the number of electron domains and bonding represented by the Lewis diagram drawn in part (a). Hence, although quite a few students incorrectly tried to reflect the delocalization of ozone in their Lewis structures in part (a), their answers to the later parts of the question were correct. In the final part quite a number of students appeared unable to deduce that hydrogen peroxide contains a single O–O bond.
Two hydrides of nitrogen are ammonia and hydrazine, \({{\text{N}}_{\text{2}}}{{\text{H}}_{\text{4}}}\). One derivative of ammonia is methanamine whose molecular structure is shown below.

Hydrazine is used to remove oxygen from water used to generate steam or hot water.
\[{{\text{N}}_{\text{2}}}{{\text{H}}_{\text{4}}}{\text{(aq)}} + {{\text{O}}_{\text{2}}}{\text{(aq)}} \to {{\text{N}}_{\text{2}}}{\text{(g)}} + {\text{2}}{{\text{H}}_{\text{2}}}{\text{O(l)}}\]
The concentration of dissolved oxygen in a sample of water is \(8.0 \times {10^{ - 3}}{\text{ g}}\,{\text{d}}{{\text{m}}^{ - 3}}\).
Estimate the H−N−H bond angle in methanamine using VSEPR theory.
State the electron domain geometry around the nitrogen atom and its hybridization in methanamine.
Ammonia reacts reversibly with water.
\[{\text{N}}{{\text{H}}_{\text{3}}}{\text{(g)}} + {{\text{H}}_{\text{2}}}{\text{O(l)}} \rightleftharpoons {\text{NH}}_{\text{4}}^ + {\text{(aq)}} + {\text{O}}{{\text{H}}^ - }{\text{(aq)}}\]
Explain the effect of adding \({{\text{H}}^ + }{\text{(aq)}}\) ions on the position of the equilibrium.
Hydrazine reacts with water in a similar way to ammonia. (The association of a molecule of hydrazine with a second H+ is so small it can be neglected.)
\[{{\text{N}}_{\text{2}}}{{\text{H}}_{\text{4}}}{\text{(aq)}} + {{\text{H}}_{\text{2}}}{\text{O(l)}} \rightleftharpoons {{\text{N}}_{\text{2}}}{\text{H}}_{\text{5}}^ + {\text{(aq)}} + {\text{O}}{{\text{H}}^ - }{\text{(aq)}}\]
\[{\text{p}}{K_{\text{b}}}{\text{ (hydrazine)}} = 5.77\]
Calculate the pH of a \(0.0100{\text{ mol}}\,{\text{d}}{{\text{m}}^{ - 3}}\) solution of hydrazine.
Suggest a suitable indicator for the titration of hydrazine solution with dilute sulfuric acid using section 22 of the data booklet.
Outline, using an ionic equation, what is observed when magnesium powder is added to a solution of ammonium chloride.
Determine the enthalpy change of reaction, \(\Delta H\), in kJ, when 1.00 mol of gaseous hydrazine decomposes to its elements. Use bond enthalpy values in section 11 of the data booklet.
\[{{\text{N}}_{\text{2}}}{{\text{H}}_{\text{4}}}{\text{(g)}} \to {{\text{N}}_{\text{2}}}{\text{(g)}} + {\text{2}}{{\text{H}}_{\text{2}}}{\text{(g)}}\]
The standard enthalpy of formation of \({{\text{N}}_{\text{2}}}{{\text{H}}_{\text{4}}}{\text{(l)}}\) is \( + 50.6{\text{ kJ}}\,{\text{mo}}{{\text{l}}^{ - 1}}\). Calculate the enthalpy of vaporization, \(\Delta {H_{{\text{vap}}}}\), of hydrazine in \({\text{kJ}}\,{\text{mo}}{{\text{l}}^{ - 1}}\). \[{{\text{N}}_{\text{2}}}{{\text{H}}_{\text{4}}}{\text{(l)}} \to {{\text{N}}_{\text{2}}}{{\text{H}}_{\text{4}}}{\text{(g)}}\] (If you did not get an answer to (f), use \( - 85{\text{ kJ}}\) but this is not the correct answer.)
Calculate, showing your working, the mass of hydrazine needed to remove all the dissolved oxygen from \({\text{1000 d}}{{\text{m}}^{\text{3}}}\) of the sample.
Calculate the volume, in \({\text{d}}{{\text{m}}^{\text{3}}}\), of nitrogen formed under SATP conditions. (The volume of 1 mol of gas = \({\text{24.8 d}}{{\text{m}}^{\text{3}}}\) at SATP.)
Markscheme
107°
Accept 100° to < 109.5°.
Literature value = 105.8°
[1 mark]
tetrahedral
sp3
No ECF allowed.
[2 marks]
removes/reacts with \({\text{O}}{{\text{H}}^ - }\)
moves to the right/products «to replace \({\text{O}}{{\text{H}}^ - }\) ions»
Accept ionic equation for M1.
[2 marks]
Kb = 10–5.77 / 1.698 x 10–6
OR
\({K_{\text{b}}} = \frac{{\left[ {{{\text{N}}_{\text{2}}}{\text{H}}_5^ + } \right] \times \left[ {{\text{O}}{{\text{H}}^ - }} \right]}}{{\left[ {{{\text{N}}_{\text{2}}}{{\text{H}}_4}} \right]}}\)
[OH–]2 «= 1.698 × 10–6 × 0.0100» = 1.698 × 10–8
OR
[OH–] «\( = \sqrt {1.698 \times {{10}^{ - 8}}} \)» = 1.303 × 10–4 «mol dm–3»
pH «\( = - {\text{lo}}{{\text{g}}_{10}}\frac{{1 \times {{10}^{ - 14}}}}{{1.3 \times {{10}^{ - 4}}}}\)» = 10.1
Award [3] for correct final answer.
Give appropriate credit for other methods containing errors that do not yield correct final answer.
[3 marks]
methyl red
OR
bromocresol green
OR
bromophenol blue
OR
methyl orange
[1 mark]
bubbles
OR
gas
OR
magnesium disappears
\({\text{2NH}}_{\text{4}}^ + {\text{(aq)}} + {\text{Mg(s)}} \to {\text{M}}{{\text{g}}^{{\text{2}} + }}{\text{(aq)}} + {\text{2N}}{{\text{H}}_{\text{3}}}{\text{(aq)}} + {{\text{H}}_{\text{2}}}{\text{(g)}}\)
Do not accept “hydrogen” without reference to observed changes.
Accept "smell of ammonia".
Accept 2H+(aq) + Mg(s) \( \to \) Mg2+(aq) + H2(g)
Equation must be ionic.
[2 marks]
bonds broken:
E(N–N) + 4E(N–H)
OR
\(158{\text{ }}\ll {\text{kJ}}\,{\text{mo}}{{\text{l}}^{ - 1}}\gg + 4 \times 391{\text{ }}\ll {\text{kJ}}\,{\text{mo}}{{\text{l}}^{ - 1}}\gg /1722{\text{ }}\ll {\text{kJ}}\gg \)
bonds formed:
E(N\( \equiv \)N) + 2E(H–H)
OR
\(945{\text{ }}\ll {\text{kJ}}\,{\text{mo}}{{\text{l}}^{ - 1}}\gg + 2 \times 436{\text{ }}\ll {\text{kJ}}\,{\text{mo}}{{\text{l}}^{ - 1}}\gg /1817{\text{ }}\ll {\text{kJ}}\gg \)
\(\ll \Delta H = {\text{bonds broken}} - {\text{bonds formed}} = 1722 - 1817 = \gg - 95{\text{ }}\ll {\text{kJ}}\gg \)
Award [3] for correct final answer.
Award [2 max] for +95 «kJ».
[3 marks]

OR
\(\Delta {H_{{\text{vap}}}} = - 50.6{\text{ kJ}}\,{\text{mo}}{{\text{l}}^{ - 1}} - {\text{(}} - 95{\text{ kJ}}\,{\text{mo}}{{\text{l}}^{ - 1}}{\text{)}}\)
\(\ll \Delta {H_{vap}} = \gg + 44{\text{ }}\ll {\text{kJ}}\,{\text{mo}}{{\text{l}}^{ - 1}}\gg \)
Award [2] for correct final answer. Award [1 max] for –44 «kJ mol–1».
Award [2] for:
ΔHvap = –50.6 kJ mol–1 – (–85 J mol–1) = +34 «kJ mol–1».
Award [1 max] for –34 «kJ mol–1».
[2 marks]
total mass of oxygen \(\ll = 8.0 \times {10^{ - 3}}{\text{ g}}\,{\text{d}}{{\text{m}}^{ - 3}} \times 1000{\text{ d}}{{\text{m}}^3}\gg = 8.0{\text{ }}\ll {\text{g}}\gg \)
\({\text{n(}}{{\text{O}}_{\text{2}}}{\text{) }}\ll = \frac{{8.0{\text{ g}}}}{{32.00{\text{ g}}\,{\text{mo}}{{\text{l}}^{ - 1}}}} = \gg {\text{ }}0.25{\text{ }}\ll {\text{mol}}\gg \)
OR
\({\text{n(}}{{\text{N}}_{\text{2}}}{{\text{H}}_{\text{4}}}{\text{)}} = {\text{n(}}{{\text{O}}_{\text{2}}}{\text{)}}\)
\(\ll {\text{mass of hydrazine}} = 0.25{\text{ mol}} \times 32.06{\text{ g}}\,{\text{mo}}{{\text{l}}^{ - 1}} = \gg {\text{ }}8.0{\text{ }}\ll {\text{g}}\gg \)
Award [3] for correct final answer.
[3 marks]
\(\ll {\text{n(}}{{\text{N}}_{\text{2}}}{{\text{H}}_{\text{4}}}{\text{)}} = {\text{n(}}{{\text{O}}_{\text{2}}}{\text{)}} = \frac{{8.0{\text{ g}}}}{{32.00{\text{ g}}\,{\text{mo}}{{\text{l}}^{ - 1}}}} = \gg {\text{ }}0.25{\text{ }}\ll {\text{mol}}\gg \)
\(\ll {\text{volume of nitrogen}} = 0.25{\text{ mol}} \times 24.8{\text{ d}}{{\text{m}}^3}\,{\text{mo}}{{\text{l}}^{ - 1}}\gg = 6.2{\text{ }}\ll {\text{d}}{{\text{m}}^3}\gg \)
Award [1] for correct final answer.
[1 mark]
Examiners report
An organic compound, X, with a molar mass of approximately \({\text{88 g}}\,{\text{mo}}{{\text{l}}^{ - 1}}\) contains 54.5% carbon, 36.3% oxygen and 9.2% hydrogen by mass.
Predict and explain the bond lengths and bond strengths of the carbon-oxygen bonds in \({\text{C}}{{\text{H}}_{\text{3}}}{\text{C}}{{\text{H}}_{\text{2}}}{\text{CO}}{{\text{O}}^ - }\).
(i) State the meaning of the term hybridization.
(ii) Describe the hybridization of the carbon atom in methane and explain how the concept of hybridization can be used to explain the shape of the methane molecule.
(iii) Identify the hybridization of the carbon atoms in diamond and graphite and explain why graphite is an electrical conductor.
Aluminium chloride, \({\text{A}}{{\text{l}}_{\text{2}}}{\text{C}}{{\text{l}}_{\text{6}}}\), does not conduct electricity when molten but aluminium oxide, \({\text{A}}{{\text{l}}_{\text{2}}}{{\text{O}}_{\text{3}}}\), does. Explain this in terms of the structure and bonding of the two compounds.
\({\text{A}}{{\text{l}}_{\text{2}}}{\text{C}}{{\text{l}}_{\text{6}}}\):
\({\text{A}}{{\text{l}}_{\text{2}}}{{\text{O}}_{\text{3}}}\):
Markscheme
bond length and bond strength identical for both carbon to oxygen bonds;
intermediate between single and double bond length and strength;
due to delocalization of the electrons (in the p orbitals);
Accept use of Data Booklet values of bond lengths and bond enthalpies.
Accept diagram of delocalization or the two resonance structures for M3.
(i) mixing/joining together/combining/merging of (atomic) orbitals to form molecular/new orbitals (of equal energy);
(ii) \({\text{s}}{{\text{p}}^3}\);
isolated C atom electron configuration \({\text{1}}{{\text{s}}^2}{\text{2}}{{\text{s}}^2}{\text{2}}{{\text{p}}^2}\) / excited state C electron configuration is \({\text{1}}{{\text{s}}^2}2{{\text{s}}^{\text{1}}}{\text{2}}{{\text{p}}^{\text{3}}}\);
\({\text{2}}{{\text{s}}^{\text{1}}}{\text{2}}{{\text{p}}^{\text{3}}}\) electrons blend to form four identical hybrid orbitals;
hybrid orbitals lower in total energy than atomic orbitals;
repulsion of (identical hybrid) orbitals creates a tetrahedral shape;
Accept suitably annotated diagram for M2, M3 and M4.
(iii) diamond:
\({\text{s}}{{\text{p}}^{\text{3}}}\);
graphite:
\({\text{s}}{{\text{p}}^2}\);
(p) electrons delocalized (around layer);
Al2Cl6:
covalent bonding / dimer/molecular structure;
no free charges when molten so not an electrical conductor;
Al2O3:
ionic / lattice structure;
ions free to move/mobile in molten state;
Examiners report
Question 7 was a popular one and well-answered in general. Part (a) required definitions which were not well known but most candidates determined the empirical and molecular formulas and correctly drew the structural formula of the carboxylic acid. Fewer candidates could correctly draw the structural formula of an ester. Identification of the stronger and longer carbon-oxygen bond was answered correctly by nearly all candidates, but explaining the bond lengths in the propanoate ion was only answered correctly by the very best candidates. Even those who realized that the electrons are delocalized did not give a complete explanation and often scored only 2 marks out of 3.
In part (b) many candidates struggled to define hybridization, frequently referring to overlapping of orbitals. Most could state that the carbon atom in methane is \({\text{s}}{{\text{p}}^{\text{3}}}\) hybridized and that the molecule is tetrahedral, but few gave detailed responses about electron configurations or repulsion of electron pairs. However, most candidates correctly identified the hybridization of carbon in diamond and graphite, and explained why graphite conducts electric current.
In (c) few candidates knew that \({\text{A}}{{\text{l}}_{\text{2}}}{\text{C}}{{\text{l}}_{\text{6}}}\) is a covalent compound and that \({\text{A}}{{\text{l}}_{\text{2}}}{{\text{O}}_{\text{3}}}\) is ionic. Some answers mentioned many types of bonding for one compound.
Two groups of students (Group A and Group B) carried out a project* on the chemistry of some group 7 elements (the halogens) and their compounds.
* Adapted from J Derek Woollins, (2009), Inorganic Experiments and Open University, (2008), Exploring the Molecular World.
In this project the students explored several aspects of the chemistry of the halogens. In the original preparation of ICl(l), they observed the yellow-green colour of chlorine gas, Cl2(g), reacting with solid iodine, I2(s).
When iodine reacts with excess chlorine, \({\text{IC}}{{\text{l}}_{\text{3}}}\) can form. Deduce the Lewis (electron dot) structure of \({\text{IC}}{{\text{l}}_{\text{3}}}\) and \({\text{ICl}}_2^ - \) and state the name of the shape of each species.

State the full electron configuration of iodine \((Z = 53)\).
One important use of chlorine is in the synthesis of poly(chloroethene), PVC. Identify the monomer used to make PVC and state one of the uses of PVC.
Monomer:
Use:
Markscheme

No ECF for shape if Lewis structure is incorrect.
\({\text{1}}{{\text{s}}^{\text{2}}}{\text{2}}{{\text{s}}^{\text{2}}}{\text{2}}{{\text{p}}^{\text{6}}}{\text{3}}{{\text{s}}^{\text{2}}}{\text{3}}{{\text{p}}^{\text{6}}}{\text{4}}{{\text{s}}^{\text{2}}}{\text{3}}{{\text{d}}^{{\text{10}}}}{\text{4}}{{\text{p}}^{\text{6}}}{\text{5}}{{\text{s}}^{\text{2}}}{\text{4}}{{\text{d}}^{{\text{10}}}}{\text{5}}{{\text{p}}^{\text{5}}}{\text{/1}}{{\text{s}}^{\text{2}}}{\text{2}}{{\text{s}}^{\text{2}}}{\text{2}}{{\text{p}}^{\text{6}}}{\text{3}}{{\text{s}}^{\text{2}}}{\text{3}}{{\text{p}}^{\text{6}}}{\text{3}}{{\text{d}}^{{\text{10}}}}{\text{4}}{{\text{s}}^{\text{2}}}{\text{4}}{{\text{p}}^{\text{6}}}{\text{4}}{{\text{d}}^{{\text{10}}}}{\text{5}}{{\text{s}}^{\text{2}}}{\text{5}}{{\text{p}}^{\text{5}}}\);
No mark for 2,8,18,18,7 or [Kr] 5s24d105p5.
Allow electron configurations with order of sublevels interchanged.
Electrons must be represented as superscript to award mark.
Monomer:
/ chloroethene /\({\text{C}}{{\text{H}}_{\text{2}}}{\text{CHCl}}\);
Accept vinyl chloride or chloroethylene.
Allow C2H3Cl.
Use:
raincoats / packaging / window frames / pipes / carpets / gutters / electrical cable sheathing / covers for electrical wires / rope / bottles;
Accept suitable alternatives.
Do not allow glue.
Do not allow just plastic(s) or just windows.
Allow plastic bag.
Examiners report
Part (e) was by far one of the most disappointing questions on the entire paper with only the top-end candidates scoring all four marks. Many mistakes were seen, such as the usual mistakes of omitting lone pairs on terminal atoms and not including square brackets and the negative charge for the Lewis structure of the anion. The biggest problem however for candidates was failing to realise that for Lewis structures based on five negative charge centres or five electron domains, the lone pairs are inserted in the equatorial position and not the axial position, resulting in a T-shaped molecular geometry for \({\text{IC}}{{\text{l}}_{\text{3}}}\) and a linear shape for \({\text{ICl}}_2^ - \). Candidates may benefit in class from a careful discussion of the various angles resulting from LP-LP, LP-BP and BP-BP repulsions for such structures emanating from five electron domains. As a result of poor comprehension of this aspect of VSEPR Theory, a common incorrect molecular geometry of trigonal planar was often cited for the molecular geometry for\({\text{IC}}{{\text{l}}_{\text{3}}}\).
In part (f), the better candidates gave the correct full electron configuration for iodine. Surprisingly some of the weaker candidates gave electron arrangements which scored no marks and a few candidates gave rather sloppy configurations, either putting subscripts instead of superscripts or not putting the number of electrons as superscripts, which was rather disconcerting to see at HL.
In part (iii), a large number of candidates stated chloroethane instead of chloroethene for the monomer. Plastic was often given as a use of PVC. This however was not allowed for M2 and a more precise answer was required.
Some physical properties of molecular substances result from the different types of forces between their molecules.
Resonance structures exist when a molecule can be represented by more than one Lewis structure.
Carbon dioxide can be represented by at least two resonance structures, I and II.

Calculate the formal charge on each oxygen atom in the two structures.

Deduce, giving a reason, the more likely structure.
Absorption of UV light in the ozone layer causes the dissociation of oxygen and ozone.
Identify, in terms of bonding, the molecule that requires a longer wavelength to dissociate.
Carbon and silicon are elements in group 14.
Explain why CO2 is a gas but SiO2 is a solid at room temperature.
Markscheme

Award [1] for any two correctly filled cells.
[2 marks]
structure I AND no formal charges
OR
structure I AND no charge transfer «between atoms»
[1 mark]
O3 has bond between single and double bond AND O2 has double bond
OR
O3 has bond order of 1.5 AND O2 has bond order of 2
OR
bond in O3 is weaker/longer than in O2
O3 requires longer wavelength
M1: Do not accept “ozone has one single and one double bond”.
[2 marks]
CO2 «non-polar» «weak» London/dispersion forces/instantaneous induced dipole-induced dipole forces between molecules
SiO2 network/lattice/3D/giant «covalent» structure
M1: The concept of “between” is essential.
[2 marks]
Examiners report
Bonds can be formed in many ways.
Bonds can be formed in many ways.
The equilibrium for a mixture of NO2 and N2O4 gases is represented as:
2NO2(g) \( \rightleftharpoons \) N2O4(g)
At 100°C, the equilibrium constant, Kc, is 0.21.
Discuss the bonding in the resonance structures of ozone.
Deduce one resonance structure of ozone and the corresponding formal charges on each oxygen atom.
The first six ionization energies, in kJ mol–1, of an element are given below.

Explain the large increase in ionization energy from IE3 to IE4.
At a given time, the concentration of NO2(g) and N2O4(g) were 0.52 and \(0.10{\text{ mol}}\,{\text{d}}{{\text{m}}^{ - 3}}\) respectively.
Deduce, showing your reasoning, if the forward or the reverse reaction is favoured at this time.
Comment on the value of ΔG when the reaction quotient equals the equilibrium constant, Q = K.
Markscheme
lone pair on p orbital «of O atom» overlaps/delocalizes with pi electrons «from double bond»
both O–O bonds have equal bond length
OR
both O–O bonds have same/1.5 bond order
OR
both O–O are intermediate between O–O AND O=O
both O–O bonds have equal bond energy
Accept “p/pi/\(\pi \) electrons are delocalized/not localized”.
[3 marks]
ALTERNATIVE 1:
FC: –1 AND +1 AND 0
ALTERNATIVE 2:
FC: 0 AND +1 AND –1
Accept any combination of lines, dots or crosses to represent electrons.
Do not accept structure that represents 1.5 bonds.
Do not penalize missing lone pairs if already penalized in 3(b).
If resonance structure is incorrect, no ECF.
Any one of the structures with correct formal charges for [2 max].
[2 marks]
Any two of:
IE4: electron in lower/inner shell/energy level
OR
IE4: more stable/full electron shell
IE4: electron closer to nucleus
OR
IE4: electron more tightly held by nucleus
IE4: less shielding by complete inner shells
Accept “increase in effective nuclear charge” for M2.
[2 marks]
«Qc = \(\frac{{0.10}}{{{{0.52}^2}}}\) =» 0.37
reaction proceeds to the left/NO2(g) «until Q = Kc»
OR
reverse reaction «favoured»
Do not award M2 without a calculation for M1 but remember to apply ECF.
[2 marks]
ΔG = 0
reaction at equilibrium
OR
rate of forward and reverse reaction is the same
OR
constant macroscopic properties
[2 marks]
Examiners report
The element boron has two naturally occurring isotopes, \(^{{\text{10}}}{\text{B}}\) and \(^{{\text{11}}}{\text{B}}\).
Phosphorus forms two chlorides, \({\text{PC}}{{\text{l}}_{\text{3}}}\) and \({\text{PC}}{{\text{l}}_{\text{5}}}\).
Apply the Aufbau principle to state the full electron configuration for an atom of phosphorus.
Deduce the Lewis structures for \({\text{PC}}{{\text{l}}_{\text{3}}}\) and \({\text{PC}}{{\text{l}}_{\text{5}}}\).
\({\text{PC}}{{\text{l}}_{\text{3}}}\)\(\quad \quad \quad \quad \quad \quad \quad \quad \quad \quad \)\({\text{PC}}{{\text{l}}_{\text{5}}}\)
Predict the shapes and the bond angles in the two molecules.

Identify the type of hybridization present in \({\text{PC}}{{\text{l}}_{\text{3}}}\).
Compare the melting points of \({\text{PC}}{{\text{l}}_{\text{3}}}\) and \({\text{PC}}{{\text{l}}_{\text{5}}}\) and explain the difference.
Define an acid according to the Lewis theory.
State and explain the acid–base character of \({\text{PC}}{{\text{l}}_{\text{3}}}\) according to the Lewis theory.
Explain the delocalization of \(\pi \) electrons using the \({{\text{O}}_{\text{3}}}\) molecule as an example, including two facts that support the delocalization.
Markscheme
\({\text{1}}{{\text{s}}^{\text{2}}}{\text{2}}{{\text{s}}^{\text{2}}}{\text{2}}{{\text{p}}^{\text{6}}}{\text{3}}{{\text{s}}^{\text{2}}}{\text{3}}{{\text{p}}^{\text{3}}}\);
;
Penalize missing lone pairs on chlorine only once.
Accept any combination of lines, dots or crosses to represent electron pairs.

Shape and bond angle must be consistent with the number of electron domains given in the diagram in (ii).
\({\text{s}}{{\text{p}}^{\text{3}}}\) (hybridization);
\({\text{PC}}{{\text{l}}_{\text{5}}}\) has higher melting point than \({\text{PC}}{{\text{l}}_{\text{3}}}\);
\({\text{PC}}{{\text{l}}_{\text{5}}}\) has stronger intermolecular/London/dispersion/van der Waals’ forces;
(because of) more electrons/greater mass;
Accept the opposite argument for PCl3.
Award [1 max] for answers suggesting PCl3 has higher melting point because it is polar and PCl5 is not.
electron pair acceptor;
Lewis base;
has non-bonding/lone pair of electrons;
No ECF from (i).
overlap of \(p\) orbitals / \(p\) electrons of double/\(\pi \) bond and non-bonding/lone pair on oxygen interact / OWTTE;
\(\pi \) electrons not localized / different resonance structures possible /
;
both bonds/O–O and O=O have equal length / OWTTE;
both bonds/O–O and O=O have equal bond energy / OWTTE;
Examiners report
The electron configuration of phosphorus was successfully answered (even by apparently weaker candidates) and there were many good answers for the Lewis structures. Candidates would do well to draw the “dots” clearly remembering that their answer will be scanned. They should group the electron dots neatly in pairs (much easier for the examiner to count, for one thing) or use a line to represent an electron pair. The usual errors occurred namely missing lone pairs on P and/or Cl atoms.
The electron configuration of phosphorus was successfully answered (even by apparently weaker candidates) and there were many good answers for the Lewis structures. Candidates would do well to draw the “dots” clearly remembering that their answer will be scanned. They should group the electron dots neatly in pairs (much easier for the examiner to count, for one thing) or use a line to represent an electron pair. The usual errors occurred namely missing lone pairs on P and/or Cl atoms.
The shapes and angles in (iii) were patchy but there were also some impressive answers.
About half knew that \({\text{s}}{{\text{p}}^{\text{3}}}\) was the answer to (iv) and in (v) about half based their explanation on the dipole moment in \({\text{PC}}{{\text{l}}_{\text{3}}}\). (One mark was allowed for those who recognized that \({\text{PC}}{{\text{l}}_{\text{3}}}\) would be polar whilst \({\text{PC}}{{\text{l}}_{\text{5}}}\) would not – thus suggesting that \({\text{PC}}{{\text{l}}_{\text{3}}}\) had the higher melting point.) Candidates were expected to know the order of melting points as this had been studied in 13.1.1. Very few were able to write a balanced equation for the reaction of \({\text{PC}}{{\text{l}}_{\text{5}}}\) with water.
About half knew that \({\text{s}}{{\text{p}}^{\text{3}}}\) was the answer to (iv) and in (v) about half based their explanation on the dipole moment in \({\text{PC}}{{\text{l}}_{\text{3}}}\). (One mark was allowed for those who recognized that \({\text{PC}}{{\text{l}}_{\text{3}}}\) would be polar whilst \({\text{PC}}{{\text{l}}_{\text{5}}}\) would not – thus suggesting that \({\text{PC}}{{\text{l}}_{\text{3}}}\) had the higher melting point.) Candidates were expected to know the order of melting points as this had been studied in 13.1.1. Very few were able to write a balanced equation for the reaction of \({\text{PC}}{{\text{l}}_{\text{5}}}\) with water.
Many failed to note that a Lewis acid is an electron pair acceptor and the definition was often muddled with that of Brønsted-Lowry.
Some, in (d) (ii), treated the P and Cl atoms separately.
In (e) there was little discussion of overlap of \(p\) orbitals, some of resonance but hardly any evidence in terms of equal bond length and equal bond strength. The bonding in an ozone molecule was not well-understood.
Draw the Lewis structures, state the shape and predict the bond angles for the following species.
Consider the following Born-Haber cycle:

The magnitudes for each of the enthalpy changes (a to e) are given in \({\text{kJ}}\,{\text{mo}}{{\text{l}}^{ - 1}}\) but their signs (+ or –) have been omitted.
\({\text{PC}}{{\text{l}}_{\text{3}}}\)
\({\text{NH}}_2^ - \)
\({\text{Xe}}{{\text{F}}_{\text{4}}}\)
State the names for the enthalpy changes c and d.
Deduce which two of the enthalpy changes a to e have negative signs.
Determine the value for the enthalpy of formation of potassium bromide.
Explain why the quantitative value for the lattice enthalpy of calcium bromide is larger than the value for the lattice enthalpy of potassium bromide.
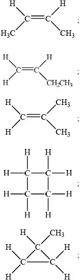
Compare the formation of a sigma \((\sigma )\) and a pi \((\pi )\) bond between two carbon atoms in a molecule.
Identify how many sigma and pi bonds are present in propene, \({{\text{C}}_{\text{3}}}{{\text{H}}_{\text{6}}}\).
Deduce all the bond angles present in propene.
Explain how the concept of hybridization can be used to explain the bonding in the triple bond present in propyne.
Markscheme
;
trigonal pyramid;
in the range of 100–108°;
;
Must include minus sign for the mark.
bent/V–shaped;
in the range of 100–106°;
;
square planar;
90°;
Penalize once only if electron pairs are missed off outer atoms.
c: atomization (enthalpy);
d: electron affinity;
d and e;
\(\Delta {H_{\text{f}}} = 90.0 + 418 + 112 + (-342) + ( - 670)\);
\( = - 392{\text{ kJ}}\,{\text{mo}}{{\text{l}}^{ - 1}}\);
\({\text{C}}{{\text{a}}^{2 + }}\) is smaller than \({{\text{K}}^ + }\) and \({\text{C}}{{\text{a}}^{2 + }}\) has more charge than \({{\text{K}}^ + }\) / \({\text{C}}{{\text{a}}^{2 + }}\) has a greater charge density;
so the attractive forces between the ions are stronger;
Do not accept ‘stronger ionic bonds’
Award [1 max] if reference is made to atoms or molecules instead of ions.
sigma bonds are formed by end on/axial overlap of orbitals with electron density between the two atoms/nuclei;
pi bonds are formed by sideways overlap of parallel p orbitals with electron density above and below internuclear axis/\(\sigma \) bond;
Accept suitably annotated diagrams
8 sigma/\(\sigma \) ;
1 pi/\(\pi \) ;
109°/109.5°;
120°;
sp hybridization;
1 sigma and 2 pi;
sigma bond formed by overlap between the two sp hybrid orbitals (on each of the two carbon atoms) / pi bonds formed by overlap between remaining p orbitals (on each of the two carbon atoms) / diagram showing 2 sp hybrid orbitals and 2 p orbitals;
Examiners report
This question was the most popular of the Section B questions. Part (a) was generally well answered with many candidates drawing clear Lewis structures and applying their knowledge of VSEPR theory well. Common errors included the omission of lone electron pairs on outer atoms, and the omission of a bracket and charge on the ion. Incorrect angular values were common. Some candidates described shapes and bond angles in terms of the ‘parent shape’. Good candidates explained the answers well and scored full marks. Weaker candidates simply wrote two answers; for example, ‘tetrahedral bent’ and could not be awarded marks.
This question was the most popular of the Section B questions. Part (a) was generally well answered with many candidates drawing clear Lewis structures and applying their knowledge of VSEPR theory well. Common errors included the omission of lone electron pairs on outer atoms, and the omission of a bracket and charge on the ion. Incorrect angular values were common. Some candidates described shapes and bond angles in terms of the ‘parent shape’. Good candidates explained the answers well and scored full marks. Weaker candidates simply wrote two answers; for example, ‘tetrahedral bent’ and could not be awarded marks.
This question was the most popular of the Section B questions. Part (a) was generally well answered with many candidates drawing clear Lewis structures and applying their knowledge of VSEPR theory well. Common errors included the omission of lone electron pairs on outer atoms, and the omission of a bracket and charge on the ion. Incorrect angular values were common. Some candidates described shapes and bond angles in terms of the ‘parent shape’. Good candidates explained the answers well and scored full marks. Weaker candidates simply wrote two answers; for example, ‘tetrahedral bent’ and could not be awarded marks.
In part (b) many candidates incorrectly identified the process converting liquid bromine molecules to gaseous bromine atoms as vaporization.
Deducing the enthalpy changes with negative signs proved challenging for many although, with follow through marks credit was earned for the calculation of the enthalpy of formation of potassium bromide.
Some teachers commented on the G2 forms that the energy cycle diagram was strange, however, the stages of the Born-Haber cycle were clearly given and candidates should be familiar with those.
Very few candidates could explain why calcium bromide has a larger lattice enthalpy than potassium bromide. Many referred to atoms instead of ions, and tried to answer this in terms of the electronegativity of the metals.
Part (c) was answered well by some candidates who produced clear and well annotated diagrams as part of their answers. Many candidates however omitted mention of orbitals when trying to describe the formation of sigma and pi bonds or to explain hybridization. There were many diagrams which had no annotations and were difficult to interpret.
Part (c) was answered well by some candidates who produced clear and well annotated diagrams as part of their answers. Many candidates however omitted mention of orbitals when trying to describe the formation of sigma and pi bonds or to explain hybridization. There were many diagrams which had no annotations and were difficult to interpret.
Part (c) was answered well by some candidates who produced clear and well annotated diagrams as part of their answers. Many candidates however omitted mention of orbitals when trying to describe the formation of sigma and pi bonds or to explain hybridization. There were many diagrams which had no annotations and were difficult to interpret.
Part (c) was answered well by some candidates who produced clear and well annotated diagrams as part of their answers. Many candidates however omitted mention of orbitals when trying to describe the formation of sigma and pi bonds or to explain hybridization. There were many diagrams which had no annotations and were difficult to interpret.
Ethanol is a primary alcohol that can be oxidized by acidified potassium dichromate(VI). Distinguish between the reaction conditions needed to produce ethanal and ethanoic acid.
Ethanal:
Ethanoic acid:
Determine the oxidation number of carbon in ethanol and ethanal.
Ethanol:
Ethanal:
Deduce the half-equation for the oxidation of ethanol to ethanal.
Deduce the overall redox equation for the reaction of ethanol to ethanal with acidified potassium dichromate(VI).
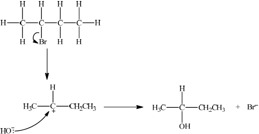
Ethanol can be made by reacting aqueous sodium hydroxide with bromoethane.
Explain the mechanism for this reaction, using curly arrows to represent the movement of electron pairs.
Determine the orders of reaction of the reactants and the overall rate expression for the reaction between 2-bromobutane and aqueous sodium hydroxide using the data in the table.

Determine the rate constant, \(k\), with its units, using the data from experiment 3.
Identify the molecularity of the rate-determining step in this reaction.
2-bromobutane exists as optical isomers.
State the essential feature of optical isomers.
2-bromobutane exists as optical isomers.
Outline how a polarimeter can distinguish between these isomers.
Describe the formation of \(\sigma \) and \(\pi \) bonds in an alkene.
The two most abundant isotopes of bromine have the mass numbers 79 and 81.
Calculate the relative abundance of \(^{{\text{79}}}{\text{Br}}\) using table 5 of the data booklet, assuming the abundance of the other isotopes is negligible.
Markscheme
Ethanal: distill off product as it forms;
Accept distillation.
Ethanoic acid: (heat under) reflux / use excess oxidizing agent;
Ethanol: –2/–II;
Ethanal: –1/–I;
Do not accept 2–, 1– but penalize once only.
\({\text{C}}{{\text{H}}_3}{\text{C}}{{\text{H}}_2}{\text{OH}} \to {\text{C}}{{\text{H}}_3}{\text{CHO}} + {\text{2}}{{\text{H}}^ + } + {\text{2}}{{\text{e}}^ - }\);
Half-equation required. Do not accept \({C_2}{H_5}OH + 2[O] \to C{H_3}CHO + {H_2}O\).
Accept e for \({e^ - }\).
\({\text{3C}}{{\text{H}}_3}{\text{C}}{{\text{H}}_2}{\text{OH(aq)}} + {\text{C}}{{\text{r}}_2}{\text{O}}_7^{2 - }{\text{(aq)}} + {\text{8}}{{\text{H}}^ + }{\text{(aq)}} \to {\text{2C}}{{\text{r}}^{{\text{3}} + }}{\text{(aq)}} + {\text{3C}}{{\text{H}}_3}{\text{CHO(l)}} + {\text{7}}{{\text{H}}_2}{\text{O(l)}}\)
correct reactants and products;
correct balancing;
M2 can only be scored if M1 correct.
Ignore state symbols.

curly arrow going from lone pair/negative charge on O in \({\text{H}}{{\text{O}}^ - }\) to C;
Do not allow curly arrow originating on H in \(H{O^ - }\).
curly arrow showing Br leaving;
Accept curly arrow either going from bond between C and Br to Br in bromoethane or in the transition state.
representation of transition state showing negative charge, square brackets and partial bonds;
Do not penalize if HO and Br are not at 180° to each other.
Do not award M3 if OH----C bond is represented.
formation of organic product \({\text{C}}{{\text{H}}_{\text{3}}}{\text{C}}{{\text{H}}_{\text{2}}}{\text{OH}}\) and \({\text{B}}{{\text{r}}^ - }\);
Award [3 max] for correct \({S_N}1\) mechanism.
\({\text{[NaOH] / [O}}{{\text{H}}^ - }{\text{]}}\) is 1/first order and \({\text{[}}{{\text{C}}_4}{{\text{H}}_9}{\text{Br]}}\) is 1/first order;
\({\text{rate }} = k{\text{[O}}{{\text{H}}^ - }{\text{][}}{{\text{C}}_4}{{\text{H}}_9}{\text{Br] / rate}} = k{\text{[NaOH][}}{{\text{C}}_4}{{\text{H}}_9}{\text{Br]}}\);
Square brackets must be used for M2.
\(\left( {\frac{{1.02 \times {{10}^{ - 4}}}}{{0.25 \times 0.25}} = } \right)0.0016/1.6 \times {10^{ - 3}}\);
\({\text{mo}}{{\text{l}}^{ - 1}}\,{\text{d}}{{\text{m}}^{\text{3}}}\,{{\text{s}}^{ - 1}}\);
Accept \({M^{ - 1}} {s^{ - 1}}\).
Ignore order of units.
Must use experiment 3 data.
bimolecular/2;
Accept dimolecular.
chiral/asymmetric carbon / carbon attached to 4 different groups / non-super imposable mirror images;
enantiomers rotate plane of (plane-) polarized light;
in opposite directions (by equal amounts);
Sigma bonds:

result from head-on/end-on overlap of orbitals / OWTTE;
Accept axial overlap of orbitals.
Accept “symmetric orbital” with respect to same plane / OWTTE.
Pi bonds:

result from sideways overlap of orbitals / OWTTE;
Accept “antisymmetric orbitals” with respect to (defining) plane (containing at least one atom) / OWTTE.
\(79.91 = 79x + 81(1 - x)\);
Award M1 for any suitable calculation.
(abundance \(^{{\text{79}}}{\text{Br}} = \)) 54.5%;
Award [2] for correct final answer.
Examiners report
The idea of “reflux” was usually given for the production of ethanoic acid in (a) but ethanal was less clear. We accept that perhaps we should have phrased (a) (ii), “Determine the average oxidation number of carbon in …” In practice, this was one of the best answered parts and caused few difficulties. Few had any idea how to attempt the half-equation in (iii) and the overall equation in (iv). Although the mechanism in (b) has been set on numerous occasions, candidates are still not taking care over the start and finish of the curly arrows and the intermediate is drawn poorly. It must have partial bonds and the sign must be outside the square brackets. Some candidates offered an \({{\text{S}}_{\text{N}}}{\text{1}}\) mechanism. In (c) (ii), the orders were usually successfully deduced but many omitted to give the overall rate expression. In part (ii), quite a number of candidates unaccountably ignored the instruction and used any experiment but No 3. The units were frequently wrong or omitted. The molecularity was answered satisfactorily. In (d), candidates frequently stated that the molecules have mirror images but not that these mirror images are non-superposable. “Chiral” was a popular correct answer. There seemed to be little understanding of a polarimeter with some suggesting that the crystals themselves rotate. In (e) the equations were poor and few were able to identify the reagent. Most descriptions in (f) would have been improved with a careful and clear diagram. Part (g), the relative abundance of \(^{{\text{79}}}{\text{Br}}\) was well done except by those who tried to do it “by inspection”; this usually led to the wrong answer.
The idea of “reflux” was usually given for the production of ethanoic acid in (a) but ethanal was less clear. We accept that perhaps we should have phrased (a) (ii), “Determine the average oxidation number of carbon in …” In practice, this was one of the best answered parts and caused few difficulties. Few had any idea how to attempt the half-equation in (iii) and the overall equation in (iv). Although the mechanism in (b) has been set on numerous occasions, candidates are still not taking care over the start and finish of the curly arrows and the intermediate is drawn poorly. It must have partial bonds and the sign must be outside the square brackets. Some candidates offered an \({{\text{S}}_{\text{N}}}{\text{1}}\) mechanism. In (c) (ii), the orders were usually successfully deduced but many omitted to give the overall rate expression. In part (ii), quite a number of candidates unaccountably ignored the instruction and used any experiment but No 3. The units were frequently wrong or omitted. The molecularity was answered satisfactorily. In (d), candidates frequently stated that the molecules have mirror images but not that these mirror images are non-superposable. “Chiral” was a popular correct answer. There seemed to be little understanding of a polarimeter with some suggesting that the crystals themselves rotate. In (e) the equations were poor and few were able to identify the reagent. Most descriptions in (f) would have been improved with a careful and clear diagram. Part (g), the relative abundance of \(^{{\text{79}}}{\text{Br}}\) was well done except by those who tried to do it “by inspection”; this usually led to the wrong answer.
The idea of “reflux” was usually given for the production of ethanoic acid in (a) but ethanal was less clear. We accept that perhaps we should have phrased (a) (ii), “Determine the average oxidation number of carbon in …” In practice, this was one of the best answered parts and caused few difficulties. Few had any idea how to attempt the half-equation in (iii) and the overall equation in (iv). Although the mechanism in (b) has been set on numerous occasions, candidates are still not taking care over the start and finish of the curly arrows and the intermediate is drawn poorly. It must have partial bonds and the sign must be outside the square brackets. Some candidates offered an \({{\text{S}}_{\text{N}}}{\text{1}}\) mechanism. In (c) (ii), the orders were usually successfully deduced but many omitted to give the overall rate expression. In part (ii), quite a number of candidates unaccountably ignored the instruction and used any experiment but No 3. The units were frequently wrong or omitted. The molecularity was answered satisfactorily. In (d), candidates frequently stated that the molecules have mirror images but not that these mirror images are non-superposable. “Chiral” was a popular correct answer. There seemed to be little understanding of a polarimeter with some suggesting that the crystals themselves rotate. In (e) the equations were poor and few were able to identify the reagent. Most descriptions in (f) would have been improved with a careful and clear diagram. Part (g), the relative abundance of \(^{{\text{79}}}{\text{Br}}\) was well done except by those who tried to do it “by inspection”; this usually led to the wrong answer.
The idea of “reflux” was usually given for the production of ethanoic acid in (a) but ethanal was less clear. We accept that perhaps we should have phrased (a) (ii), “Determine the average oxidation number of carbon in …” In practice, this was one of the best answered parts and caused few difficulties. Few had any idea how to attempt the half-equation in (iii) and the overall equation in (iv). Although the mechanism in (b) has been set on numerous occasions, candidates are still not taking care over the start and finish of the curly arrows and the intermediate is drawn poorly. It must have partial bonds and the sign must be outside the square brackets. Some candidates offered an \({{\text{S}}_{\text{N}}}{\text{1}}\) mechanism. In (c) (ii), the orders were usually successfully deduced but many omitted to give the overall rate expression. In part (ii), quite a number of candidates unaccountably ignored the instruction and used any experiment but No 3. The units were frequently wrong or omitted. The molecularity was answered satisfactorily. In (d), candidates frequently stated that the molecules have mirror images but not that these mirror images are non-superposable. “Chiral” was a popular correct answer. There seemed to be little understanding of a polarimeter with some suggesting that the crystals themselves rotate. In (e) the equations were poor and few were able to identify the reagent. Most descriptions in (f) would have been improved with a careful and clear diagram. Part (g), the relative abundance of \(^{{\text{79}}}{\text{Br}}\) was well done except by those who tried to do it “by inspection”; this usually led to the wrong answer.
The idea of “reflux” was usually given for the production of ethanoic acid in (a) but ethanal was less clear. We accept that perhaps we should have phrased (a) (ii), “Determine the average oxidation number of carbon in …” In practice, this was one of the best answered parts and caused few difficulties. Few had any idea how to attempt the half-equation in (iii) and the overall equation in (iv). Although the mechanism in (b) has been set on numerous occasions, candidates are still not taking care over the start and finish of the curly arrows and the intermediate is drawn poorly. It must have partial bonds and the sign must be outside the square brackets. Some candidates offered an \({{\text{S}}_{\text{N}}}{\text{1}}\) mechanism. In (c) (ii), the orders were usually successfully deduced but many omitted to give the overall rate expression. In part (ii), quite a number of candidates unaccountably ignored the instruction and used any experiment but No 3. The units were frequently wrong or omitted. The molecularity was answered satisfactorily. In (d), candidates frequently stated that the molecules have mirror images but not that these mirror images are non-superposable. “Chiral” was a popular correct answer. There seemed to be little understanding of a polarimeter with some suggesting that the crystals themselves rotate. In (e) the equations were poor and few were able to identify the reagent. Most descriptions in (f) would have been improved with a careful and clear diagram. Part (g), the relative abundance of \(^{{\text{79}}}{\text{Br}}\) was well done except by those who tried to do it “by inspection”; this usually led to the wrong answer.
The idea of “reflux” was usually given for the production of ethanoic acid in (a) but ethanal was less clear. We accept that perhaps we should have phrased (a) (ii), “Determine the average oxidation number of carbon in …” In practice, this was one of the best answered parts and caused few difficulties. Few had any idea how to attempt the half-equation in (iii) and the overall equation in (iv). Although the mechanism in (b) has been set on numerous occasions, candidates are still not taking care over the start and finish of the curly arrows and the intermediate is drawn poorly. It must have partial bonds and the sign must be outside the square brackets. Some candidates offered an \({{\text{S}}_{\text{N}}}{\text{1}}\) mechanism. In (c) (ii), the orders were usually successfully deduced but many omitted to give the overall rate expression. In part (ii), quite a number of candidates unaccountably ignored the instruction and used any experiment but No 3. The units were frequently wrong or omitted. The molecularity was answered satisfactorily. In (d), candidates frequently stated that the molecules have mirror images but not that these mirror images are non-superposable. “Chiral” was a popular correct answer. There seemed to be little understanding of a polarimeter with some suggesting that the crystals themselves rotate. In (e) the equations were poor and few were able to identify the reagent. Most descriptions in (f) would have been improved with a careful and clear diagram. Part (g), the relative abundance of \(^{{\text{79}}}{\text{Br}}\) was well done except by those who tried to do it “by inspection”; this usually led to the wrong answer.
The idea of “reflux” was usually given for the production of ethanoic acid in (a) but ethanal was less clear. We accept that perhaps we should have phrased (a) (ii), “Determine the average oxidation number of carbon in …” In practice, this was one of the best answered parts and caused few difficulties. Few had any idea how to attempt the half-equation in (iii) and the overall equation in (iv). Although the mechanism in (b) has been set on numerous occasions, candidates are still not taking care over the start and finish of the curly arrows and the intermediate is drawn poorly. It must have partial bonds and the sign must be outside the square brackets. Some candidates offered an \({{\text{S}}_{\text{N}}}{\text{1}}\) mechanism. In (c) (ii), the orders were usually successfully deduced but many omitted to give the overall rate expression. In part (ii), quite a number of candidates unaccountably ignored the instruction and used any experiment but No 3. The units were frequently wrong or omitted. The molecularity was answered satisfactorily. In (d), candidates frequently stated that the molecules have mirror images but not that these mirror images are non-superposable. “Chiral” was a popular correct answer. There seemed to be little understanding of a polarimeter with some suggesting that the crystals themselves rotate. In (e) the equations were poor and few were able to identify the reagent. Most descriptions in (f) would have been improved with a careful and clear diagram. Part (g), the relative abundance of \(^{{\text{79}}}{\text{Br}}\) was well done except by those who tried to do it “by inspection”; this usually led to the wrong answer.
The idea of “reflux” was usually given for the production of ethanoic acid in (a) but ethanal was less clear. We accept that perhaps we should have phrased (a) (ii), “Determine the average oxidation number of carbon in …” In practice, this was one of the best answered parts and caused few difficulties. Few had any idea how to attempt the half-equation in (iii) and the overall equation in (iv). Although the mechanism in (b) has been set on numerous occasions, candidates are still not taking care over the start and finish of the curly arrows and the intermediate is drawn poorly. It must have partial bonds and the sign must be outside the square brackets. Some candidates offered an \({{\text{S}}_{\text{N}}}{\text{1}}\) mechanism. In (c) (ii), the orders were usually successfully deduced but many omitted to give the overall rate expression. In part (ii), quite a number of candidates unaccountably ignored the instruction and used any experiment but No 3. The units were frequently wrong or omitted. The molecularity was answered satisfactorily. In (d), candidates frequently stated that the molecules have mirror images but not that these mirror images are non-superposable. “Chiral” was a popular correct answer. There seemed to be little understanding of a polarimeter with some suggesting that the crystals themselves rotate. In (e) the equations were poor and few were able to identify the reagent. Most descriptions in (f) would have been improved with a careful and clear diagram. Part (g), the relative abundance of \(^{{\text{79}}}{\text{Br}}\) was well done except by those who tried to do it “by inspection”; this usually led to the wrong answer.
The idea of “reflux” was usually given for the production of ethanoic acid in (a) but ethanal was less clear. We accept that perhaps we should have phrased (a) (ii), “Determine the average oxidation number of carbon in …” In practice, this was one of the best answered parts and caused few difficulties. Few had any idea how to attempt the half-equation in (iii) and the overall equation in (iv). Although the mechanism in (b) has been set on numerous occasions, candidates are still not taking care over the start and finish of the curly arrows and the intermediate is drawn poorly. It must have partial bonds and the sign must be outside the square brackets. Some candidates offered an \({{\text{S}}_{\text{N}}}{\text{1}}\) mechanism. In (c) (ii), the orders were usually successfully deduced but many omitted to give the overall rate expression. In part (ii), quite a number of candidates unaccountably ignored the instruction and used any experiment but No 3. The units were frequently wrong or omitted. The molecularity was answered satisfactorily. In (d), candidates frequently stated that the molecules have mirror images but not that these mirror images are non-superposable. “Chiral” was a popular correct answer. There seemed to be little understanding of a polarimeter with some suggesting that the crystals themselves rotate. In (e) the equations were poor and few were able to identify the reagent. Most descriptions in (f) would have been improved with a careful and clear diagram. Part (g), the relative abundance of \(^{{\text{79}}}{\text{Br}}\) was well done except by those who tried to do it “by inspection”; this usually led to the wrong answer.
The idea of “reflux” was usually given for the production of ethanoic acid in (a) but ethanal was less clear. We accept that perhaps we should have phrased (a) (ii), “Determine the average oxidation number of carbon in …” In practice, this was one of the best answered parts and caused few difficulties. Few had any idea how to attempt the half-equation in (iii) and the overall equation in (iv). Although the mechanism in (b) has been set on numerous occasions, candidates are still not taking care over the start and finish of the curly arrows and the intermediate is drawn poorly. It must have partial bonds and the sign must be outside the square brackets. Some candidates offered an \({{\text{S}}_{\text{N}}}{\text{1}}\) mechanism. In (c) (ii), the orders were usually successfully deduced but many omitted to give the overall rate expression. In part (ii), quite a number of candidates unaccountably ignored the instruction and used any experiment but No 3. The units were frequently wrong or omitted. The molecularity was answered satisfactorily. In (d), candidates frequently stated that the molecules have mirror images but not that these mirror images are non-superposable. “Chiral” was a popular correct answer. There seemed to be little understanding of a polarimeter with some suggesting that the crystals themselves rotate. In (e) the equations were poor and few were able to identify the reagent. Most descriptions in (f) would have been improved with a careful and clear diagram. Part (g), the relative abundance of \(^{{\text{79}}}{\text{Br}}\) was well done except by those who tried to do it “by inspection”; this usually led to the wrong answer.
The idea of “reflux” was usually given for the production of ethanoic acid in (a) but ethanal was less clear. We accept that perhaps we should have phrased (a) (ii), “Determine the average oxidation number of carbon in …” In practice, this was one of the best answered parts and caused few difficulties. Few had any idea how to attempt the half-equation in (iii) and the overall equation in (iv). Although the mechanism in (b) has been set on numerous occasions, candidates are still not taking care over the start and finish of the curly arrows and the intermediate is drawn poorly. It must have partial bonds and the sign must be outside the square brackets. Some candidates offered an \({{\text{S}}_{\text{N}}}{\text{1}}\) mechanism. In (c) (ii), the orders were usually successfully deduced but many omitted to give the overall rate expression. In part (ii), quite a number of candidates unaccountably ignored the instruction and used any experiment but No 3. The units were frequently wrong or omitted. The molecularity was answered satisfactorily. In (d), candidates frequently stated that the molecules have mirror images but not that these mirror images are non-superposable. “Chiral” was a popular correct answer. There seemed to be little understanding of a polarimeter with some suggesting that the crystals themselves rotate. In (e) the equations were poor and few were able to identify the reagent. Most descriptions in (f) would have been improved with a careful and clear diagram. Part (g), the relative abundance of \(^{{\text{79}}}{\text{Br}}\) was well done except by those who tried to do it “by inspection”; this usually led to the wrong answer.
The idea of “reflux” was usually given for the production of ethanoic acid in (a) but ethanal was less clear. We accept that perhaps we should have phrased (a) (ii), “Determine the average oxidation number of carbon in …” In practice, this was one of the best answered parts and caused few difficulties. Few had any idea how to attempt the half-equation in (iii) and the overall equation in (iv). Although the mechanism in (b) has been set on numerous occasions, candidates are still not taking care over the start and finish of the curly arrows and the intermediate is drawn poorly. It must have partial bonds and the sign must be outside the square brackets. Some candidates offered an \({{\text{S}}_{\text{N}}}{\text{1}}\) mechanism. In (c) (ii), the orders were usually successfully deduced but many omitted to give the overall rate expression. In part (ii), quite a number of candidates unaccountably ignored the instruction and used any experiment but No 3. The units were frequently wrong or omitted. The molecularity was answered satisfactorily. In (d), candidates frequently stated that the molecules have mirror images but not that these mirror images are non-superposable. “Chiral” was a popular correct answer. There seemed to be little understanding of a polarimeter with some suggesting that the crystals themselves rotate. In (e) the equations were poor and few were able to identify the reagent. Most descriptions in (f) would have been improved with a careful and clear diagram. Part (g), the relative abundance of \(^{{\text{79}}}{\text{Br}}\) was well done except by those who tried to do it “by inspection”; this usually led to the wrong answer.
Carbon and silicon belong to the same group of the periodic table.
Describe the delocalization of pi (\(\pi \)) electrons and explain how this can account for the structure and stability of the carbonate ion, \({\text{CO}}_3^{2 - }\).
Explain the meaning of the term hybridization. State the type of hybridization shown by the carbon atoms in carbon dioxide, diamond, graphite and the carbonate ion.
Explain the electrical conductivity of molten sodium oxide and liquid sulfur trioxide.
Samples of sodium oxide and solid sulfur trioxide are added to separate beakers of water. Deduce the equation for each reaction and predict the electrical conductivity of each of the solutions formed.
Markscheme
\(^{{\text{60}}}{\text{Co}}\)/Co-60/cobalt-60 and radiotherapy/sterilization of medical supplies/radiation treatment of food sterilizations/industrial radiography/density measurements in industry/(medical/radioactive) tracer;
Allow treatment of cancer.
Do not allow “just used in medicine”.
OR
\(^{{\text{57}}}{\text{Co}}\)/Co-57/cobalt-57 and medical tests/label for vitamin B12 uptake;
Do not allow “just used in medicine”.
mixing/combining/merging of (atomic) orbitals to form new orbitals (for bonding);
Allow molecular or hybrid instead of new.
Do not allow answers such as changing shape/symmetries of atomic orbitals.
Carbon dioxide: sp;
Diamond: \({\text{s}}{{\text{p}}^{\text{3}}}\);
Graphite: \({\text{s}}{{\text{p}}^{\text{2}}}\);
Carbonate ion: \({\text{s}}{{\text{p}}^{\text{2}}}\);
Molten sodium oxide: conducts because of free moving/mobile ions in molten state;
Sulfur trioxide: doesn’t conduct because no free moving/mobile charged particles/it has neutral molecules;
Award [1 max] for stating molten sodium oxide conducts but sulfur trioxide doesn’t.
Do not award M2 for “just sulfur trioxide does not conduct because it is molecular.”
\({\text{N}}{{\text{a}}_2}{\text{O(s)}} + {{\text{H}}_2}{\text{O(l)}} \to {\text{2NaOH(aq)}}\);
\({\text{S}}{{\text{O}}_3}{\text{(l)}} + {{\text{H}}_2}{\text{O(l)}} \to {{\text{H}}_2}{\text{S}}{{\text{O}}_4}{\text{(aq)}}\);
both solutions conduct;
Ignore state symbols.
Examiners report
(d) was poorly answered since candidates were unable to logically structure their response often a description of pi bonding alone was given.
(e) usually was well done, although the precise meaning of hybridization was rarely given. Sometimes an incorrect hybridization of \({\text{s}}{{\text{p}}^{\text{4}}}\) was given for diamond.
In (f), most candidates were unable to state that molten sodium oxide is able to conduct electricity because the current is carried by mobile ions (not delocalized electrons). Most did not realise that molten sulfur trioxide consists of neutral molecules and therefore does not conduct an electric current.
Most were able to write the balanced chemical equations but then were not able to state that both solutions conduct. Many often gave the incorrect formula for sodium oxide.
A sample of magnesium contains three isotopes: magnesium-24, magnesium-25 and magnesium-26, with abundances of 77.44%, 10.00% and 12.56% respectively.
A graph of the successive ionization energies of magnesium is shown below.

The graph below shows pressure and volume data collected for a sample of carbon dioxide gas at 330 K.

(i) Calculate the relative atomic mass of this sample of magnesium correct to two decimal places.
(ii) Predict the relative atomic radii of the three magnesium isotopes, giving your reasons.
(i) Explain the increase in ionization energy values from the 3rd to the 8th electrons.
(ii) Explain the sharp increase in ionization energy values between the 10th and 11th electrons.
(i) Magnesium reacts with oxygen to form an ionic compound, magnesium oxide. Describe how the ions are formed, and the structure and bonding in magnesium oxide.
(ii) Carbon reacts with oxygen to form a covalent compound, carbon dioxide. Describe what is meant by a covalent bond.
(iii) State why magnesium and oxygen form an ionic compound while carbon and oxygen form a covalent compound.
(i) Predict the type of hybridization of the carbon and oxygen atoms in \({\text{C}}{{\text{O}}_{\text{2}}}\).
(ii) Sketch the orbitals of an oxygen atom in \({\text{C}}{{\text{O}}_{\text{2}}}\) on the energy level diagram provided, including the electrons that occupy each orbital.

(iii) Define the term electronegativity.
(iv) Explain why oxygen has a larger electronegativity than carbon.
(i) Draw a best-fit curve for the data on the graph.
(ii) Use the data point labelled X to determine the amount, in mol, of carbon dioxide gas in the sample.
(i) Most indicators are weak acids. Describe qualitatively how indicators work.
(ii) Identify a suitable indicator for a titration between a weak acid and a strong base, using Table 16 of the Data Booklet.
Markscheme
(i) \(\left( {\frac{{(77.44 \times 24) + (10.00 \times 25) + (12.56 \times 26)}}{{100}}} \right)\);
24.35;
Award [2] for correct final answer.
Two decimal places are required for M2.
Do not award any marks for 24.31 without showing method (as the value can be copied from the Data Booklet).
(ii) same atomic radii / 160 pm;
isotopes only differ by number of neutrons/size of nucleus / radius determined by electron shells and number of protons / OWTTE;
Accept neutrons do not affect distance of electrons / OWTTE.
(i) decreasing repulsion between electrons / radius decreases as electrons are removed;
Accept increasing positive charge on ion attracts electrons more strongly.
(ii) 10th electron is in second energy level/shell while 11th electron is in first energy level/shell / 10th is removing electron from electronic arrangement 2,1 while 11th ionization energy is removing electron from electronic arrangement 2;
11th electron removed is much closer to the nucleus / 11th electron removed from a (much) lower energy level/shell;
Accept opposite statement for 10th electron.
(i) magnesium (atom) gives two electrons to oxygen (atom) / oxygen (atom) takes two electrons from magnesium (atom) / magnesium (atom) loses two electrons and oxygen (atom) gains two electrons;
3-dimensional/3-D arrangement of ions / lattice of ions;
(electrostatic) attraction between oppositely charged ions/\({\text{M}}{{\text{g}}^{2 + }}\) and \({{\text{O}}^{2 - }}\);
(ii) electrostatic attraction between a pair of electrons and (positively charged) nuclei;
Accept a/two pairs of shared electrons.
(iii) difference in electronegativity is larger between Mg and O/smaller between C and O;
Accept reference to a numerical value of difference in electronegativity such as above and below 1.80.
(i) C: sp hybridization;
O: \({\text{s}}{{\text{p}}^{\text{2}}}\) hybridization;
Award [1] if the answer is sp without specifying C or O atoms.
(ii) 
three \({\text{s}}{{\text{p}}^{\text{2}}}\) orbitals and one p-orbital at higher energy;
\({\text{s}}{{\text{p}}^{\text{2}}}\) orbitals contain: two, two and one electron and p-orbital contains one electron;
Do not allow ECF from (d)(i).
(iii) ability of atom/nucleus to attract bonding/shared pair of electrons / attraction of nucleus for bonding/shared pair of electrons / OWTTE;
(iv) (same number of shells but) increase in nuclear charge/atomic number/number of protons increases electronegativity / O has more protons than C;
Accept oxygen has a higher effective nuclear charge.
decrease in radius along the period increases electronegativity / O has smaller radius than C;
(i) smooth curve through the data;
Do not accept a curve that passes through all of the points or an answer that joins the points using lines.
(ii) \(p = 21 \times {10^5}/2.1 \times {10^6}{\text{ (Pa)}}/2.1 \times {10^3}{\text{ (kPa)}}\) and
\(V = 50 \times {10^{ - 6}}/5.0 \times {10^{ - 5}}{\text{ }}({{\text{m}}^3})/5.0 \times {10^{ - 2}}{\text{ }}({\text{d}}{{\text{m}}^3})\);
\(\left( {n = \frac{{pV}}{{RT}}} \right)\frac{{2.1 \times {{10}^6} \times 5.0 \times {{10}^{ - 5}}}}{{8.31 \times 330}}\);
\(n = 0.038{\text{ (mol)}}\);
Award [3] for correct final answer.
For M3 apply ECF for correct computation of the equation the student has written, unless more than one mistake is made prior this point.
(i) equilibrium between HIn and \({\text{I}}{{\text{n}}^ - }/{\text{HIn}} \rightleftharpoons {\text{I}}{{\text{n}}^ - } + {{\text{H}}^ + }\);
the colours of HIn and \({\text{I}}{{\text{n}}^ - }\) are different;
if added to acid, the equilibrium shifts to the left and the colour of HIn is seen / OWTTE;
if added to base/alkali, the equilibrium shifts to the right and the colour of \({\text{I}}{{\text{n}}^ - }\) is seen / OWTTE;
(ii) phenolphthalein;
Accept phenol red.
Examiners report
(i) Most candidates were able to calculate the relative atomic mass to the correct number of decimal places.
(ii) Only strong candidates were able to predict the same radius for the isotopes and gave correct reasoning. However, the majority of candidates predicted that a larger number of neutrons resulted is a smaller radius, reflecting a poor understanding of atomic structure.
(i) Very few candidates were able to explain the increase in successive ionization energies for electrons removed from the same sub-shell. Many candidates gave incorrect reasoning.
(ii) The increase between the 10th and 11th ionization energies of magnesium was explained correctly by about half of the candidates. Few candidates scored the first mark by identifying the correct shells or sub-shells the electrons are removed from.
(i) Well answered by many candidates. A few candidates were confusing ionic with covalent bonding, and some referred to a linear MgO molecule in an ionic lattice.
(ii) Few candidates were able to describe the covalent bond precisely. Those who didn’t score usually didn’t make any reference to pairs of electrons.
(iii) Many candidates obtained this mark with satisfactory arguments. It was disappointing to see the abundance of answers based on “is a metal with a non-metal” or “both are non-metals”.
(i) A few candidates identified sp hybridization based on a linear structure. Only the strongest candidates were able to give the correct hybridization for oxygen as well.
(ii) This was the most challenging question on the paper. It was rare to see a correct answer. It seems candidates did not have a good understanding of hybridization.
(iii) Less than half the candidates were able to define electronegativity precisely. Many candidates did not relate it to the pair of electrons in a covalent bond, and simply talked about attracting electrons, which was not sufficient for the mark.
(iv) Many candidates gained the first mark by stating that oxygen has more protons than carbon. But very few candidates identified the second factor, which is the smaller radius of oxygen.
(i) More than half of the candidates drew a smooth curve that was central to the data points. Errors included straight lines, curves joining all data points, or a curve that was not central to the points.
(ii) A very well answered question. Some candidates converted the units of p and V incorrectly and others did not read the scales of the graph correctly.
(i) Many candidates could explain the behaviour of indicators, but there were also some poor answers that did not acknowledge the importance of equilibrium in the action of an indicator.
(ii) Most candidates suggested a suitable indicator.
Nitrogen and silicon belong to different groups in the periodic table.
Draw the Lewis structures, state the shapes and predict the bond angles for the following species.
Consider the molecule \({\text{HCON}}{{\text{H}}_{\text{2}}}\).
Distinguish in terms of electronic structure, between the terms group and period.
State the maximum number of orbitals in the \(n = 2\) energy level.
\({\text{SiF}}_6^{2 - }\)
\({\text{NO}}_2^ + \)
Explain, using diagrams, why \({\text{N}}{{\text{O}}_{\text{2}}}\) is a polar molecule but \({\text{C}}{{\text{O}}_{\text{2}}}\) is a non-polar molecule.
Explain the term hybridization.
Describe how \(\sigma \) and \(\pi \) bonds form.
State the type of hybridization of the carbon and nitrogen atoms in \({\text{HCON}}{{\text{H}}_{\text{2}}}\).
Markscheme
Group: number of valence/outer energy level electrons same;
Period: electrons are in same valence/outer energy level;
Accept number of energy levels containing electrons occupied.
Accept shell for energy level.
4;
Allow the mark if the correct individual orbitals (e.g. 2s etc.) are listed.
;
octahedral/octahedron/square bipyramidal;
90° / 90° and 180°;
;
linear;
180°;
Allow dots, crosses or lines in Lewis structures.
Penalize missing charge, missing bracket once only in (i) and (ii).
Lone pairs required for BOTH (i) and (ii).
\(N{O_2}\):

Award [1] for correct representation of the bent shape and [1] for showing the net dipole moment, or explaining it in words (unsymmetrical distribution of charge).
\(C{O_2}\):

Award [1] for correct representation of the linear shape and for showing the two equal but opposite dipoles or explaining it in words (symmetrical distribution of charge).
For both species, allow either arrow or arrow with bar for representation of dipole moment.
Allow correct partial charges instead of the representation of the vector dipole moment.
Ignore incorrect bonds.
Lone pairs not needed.
mixing/joining together/combining/merging of atomic orbitals to form molecular /new orbitals / orbitals of equal energy;
\(sigma \) bond:
end-on/axial overlap with electron density between the two atoms/nuclei;
\(\pi \) bond:
sideways/parallel overlap with electron density above and below internuclear axis/\(sigma \) bond;
Marks can be scored from a suitable diagram.
Award [1 max] for stating end-on/axial overlap for \(sigma \) and sideways/parallel overlap for \(\pi \) only i.e. without mentioning electron density OR stating electron density between the two atoms/nuclei for \(sigma \) above and below internuclear axis/\(sigma \) bond for \(\pi \) i.e. without mentioning overlap.

Correct answer is actually sp2 for nitrogen because of delocalization/planar geometry.
Accept sp3.
Examiners report
Part (a) was very poorly answered which was surprising at HL. Most candidates described groups correctly but only a small majority stated that for a period the electrons are in the same valence level.
Part (ii) was well answered.
For (b) VSEPR theory in general was well answered. The most common mistakes involved candidates failing to include square brackets or lone pairs of electrons or charges. Four G2 comments stated that expanded octets are not on the syllabus. However, AS 14.1.1 states explicitly that candidates should be able to predict the shape and bond angles of species of five and six negative charge centres. Four examples are included in the teachers note, including \({\text{S}}{{\text{F}}_{\text{6}}}\), but it has to emphasized again, as in previous subject reports that examples should not be confined in teaching programmes to just these four examples. Even \({\text{S}}{{\text{F}}_{\text{6}}}\) is a clear example of an expanded octet type structure, as is \({\text{SiF}}_6^{2 - }\), as asked in this question.
There were five other G2 comments again stating the fact that \({\text{NO}}_2^ + \) is off-syllabus. Based on AS 4.2.7, this example is clearly on the syllabus as the AS states that candidates should be able to predict the shape and bond angles of species of two, three and four negative charge centres. All the examples in the teachers note should be covered at a minimum in the teaching programme, but these are not the only examples.
There were seven G2 comments referring to (d); some respondents felt that the candidates had to answer the question by determining the shape of both \({\text{N}}{{\text{O}}_{\text{2}}}\) and\({\text{C}}{{\text{O}}_{\text{2}}}\) using VSEPR Theory. This is a classic example of candidates reading the question carefully and not making unnecessary assumptions in relation to what is being asked. Only three marks are allocated to this question and hence this should be another clue as to suggest that the answer can be given in a concise manner. All candidates had to do was determine the fact that both species are XY2 species (not XYZ even) and hence can only be one of two geometries, either linear or bent. \({\text{C}}{{\text{O}}_{\text{2}}}\) must be non-polar since it is a linear geometry and hence the two dipole moments cancel each other out, yielding a net dipole moment of zero. In the case of \({\text{N}}{{\text{O}}_{\text{2}}}\), the geometry must be bent, and therefore there is a net dipole moment meaning it is a polar molecule. A simple diagram of the two species with the two bond dipole moments in each case and the resultant net dipole moment (in the case of \({\text{N}}{{\text{O}}_{\text{2}}}\)) would have scored both marks. There was no need to show lone pairs of electrons or isolated electrons etc. to answer this question, as candidates were not asked to write Lewis structures etc. Some candidates wasted time here trying to work these out and even some candidates thought that there might even be a mistake in the question and tried to answer the question with \({\text{NO}}_2^ - \), because this is an example given in the teachers note in AS 14.3.1, based on delocalization.
The very best candidates did draw dipole moments, as the question did ask for diagrams, when explaining polarity, as opposed to simply a description in words.
Hybridization was usually well answered in part (ii), but sometimes candidates did not score the mark due to lack of specific subject vocabulary.
Although candidates often had some understanding of sigma and pi bonding, very few mentioned electron density in (iii).
For (iv) one G2 comment stated that the hybridization of N in \({\text{HCON}}{{\text{H}}_{\text{2}}}\) will in fact be \({\text{s}}{{\text{p}}^{\text{2}}}\) due to the planar nature of the \({\text{N}}{{\text{H}}_{\text{2}}}\) group here in this example, which is in fact correct, although it is unlikely that candidates at this level would know this. Nearly all candidates gave \({\text{s}}{{\text{p}}^{\text{3}}}\) hybridization for N, which they based on a perceived pyramidal type geometry, like in ammonia. For this reason, during GA, we decided to allow both hybridizations, even though the correct answer is actually \({\text{s}}{{\text{p}}^{\text{2}}}\) in this example.
Two chemistry students wished to determine the enthalpy of hydration of anhydrous magnesium sulfate. They measured the initial and the highest temperature reached when anhydrous magnesium sulfate, \({\text{MgS}}{{\text{O}}_{\text{4}}}{\text{(s)}}\), was dissolved in water. They presented their results in the table below.

The students repeated the experiment using 6.16 g of solid hydrated magnesium sulfate, \({\text{MgS}}{{\text{O}}_{\text{4}}} \bullet {\text{7}}{{\text{H}}_{\text{2}}}{\text{O(s)}}\), and \({\text{50.0 c}}{{\text{m}}^{\text{3}}}\) of water. They found the enthalpy change, \(\Delta {H_2}\) , to be \( + {\text{18 kJ}}\,{\text{mo}}{{\text{l}}^{ - 1}}\).
The enthalpy of hydration of solid anhydrous magnesium sulfate is difficult to determine experimentally, but can be determined using the diagram below.

(i) Calculate the amount, in mol, of anhydrous magnesium sulfate.
(ii) Calculate the enthalpy change, \(\Delta {H_1}\), for anhydrous magnesium sulfate dissolving in water, in \({\text{kJ}}\,{\text{mo}}{{\text{l}}^{ - 1}}\). State your answer to the correct number of significant figures.
(i) Determine the enthalpy change, \(\Delta H\), in \({\text{kJ}}\,{\text{mo}}{{\text{l}}^{ - 1}}\), for the hydration of solid anhydrous magnesium sulfate, \({\text{MgS}}{{\text{O}}_{\text{4}}}\).
(ii) The literature value for the enthalpy of hydration of anhydrous magnesium sulfate is \( - 103{\text{ kJ}}\,{\text{mo}}{{\text{l}}^{ - 1}}\). Calculate the percentage difference between the literature value and the value determined from experimental results, giving your answer to one decimal place. (If you did not obtain an answer for the experimental value in (b)(i) then use the value of \( - 100{\text{ kJ}}\,{\text{mo}}{{\text{l}}^{ - 1}}\), but this is not the correct value.)
Another group of students experimentally determined an enthalpy of hydration of \( - 95{\text{ kJ}}\,{\text{mo}}{{\text{l}}^{ - 1}}\). Outline two reasons which may explain the variation between the experimental and literature values.
Magnesium sulfate is one of the products formed when acid rain reacts with dolomitic limestone. This limestone is a mixture of magnesium carbonate and calcium carbonate.
(i) State the equation for the reaction of sulfuric acid with magnesium carbonate.
(ii) Deduce the Lewis (electron dot) structure of the carbonate ion, giving the shape and the oxygen-carbon-oxygen bond angle.
Lewis (electron dot) structure:
Shape:
Bond angle:
(iii) There are three possible Lewis structures that can be drawn for the carbonate ion, which lead to a resonance structure. Explain, with reference to the electrons, why all carbon-oxygen bonds have the same length.
(iv) Deduce the hybridization of the carbon atom in the carbonate ion.
Markscheme
(i) \(n{\text{(MgS}}{{\text{O}}_4}{\text{)}} = \left( {\frac{{3.01}}{{120.37}} = } \right)0.0250{\text{ (mol)}}\);
(ii) energy released \( = 50.0 \times 4.18 \times 9.7 \times 2027{\text{ (J)}}/2.027{\text{ (kJ)}}\);
\(\Delta {H_1} = - 81{\text{ (kJ}}\,{\text{mo}}{{\text{l}}^{ - 1}}{\text{)}}\);
Award [2] for correct answer.
Award [2] if 53.01 is used giving an answer of –86 (kJ mol–1).
Award [1 max] for +81/81/+86/86 (kJ mol−1).
Award [1 max] for –81000/–86000 if units are stated as J mol−1.
Allow answers to 3 significant figures.
(i) \(\Delta H{\text{ (}} = \Delta {H_1} - \Delta {H_2}{\text{)}} = - 99{\text{ (kJ}}\,{\text{mo}}{{\text{l}}^{ - 1}}{\text{)}}\);
Award [1] if –86 is used giving an answer of –104 (kJ mol–1).
(ii) \(\frac{{(103 - 99)}}{{103}} \times 100 = 3.9\% \);
Accept answer of 2.9% if –100 used but only if a value for (b)(i) is not present.
Award [1] if –104 is used giving an answer of 1.0% .
Accept correct answers which are not to 1 decimal place.
\({\text{MgS}}{{\text{O}}_{\text{4}}}\) not completely anhydrous / OWTTE;
\({\text{MgS}}{{\text{O}}_{\text{4}}}\) is impure;
heat loss to the atmosphere/surroundings;
specific heat capacity of solution is taken as that of pure water;
experiment was done once only so it is not scientific;
density of solution is taken to be \({\text{1 g}}\,{\text{c}}{{\text{m}}^{ - 3}}\);
mass of \({\text{7}}{{\text{H}}_2}{\text{O}}\) ignored in calculation;
uncertainty of thermometer is high so temperature change is unreliable;
literature values determined under standard conditions, but this experiment is not;
all solid not dissolved;
(i) \({{\text{H}}_2}{\text{S}}{{\text{O}}_4}{\text{(aq)}} + {\text{MgC}}{{\text{O}}_3}{\text{(s)}} \to {\text{MgS}}{{\text{O}}_4}{\text{(aq)}} + {\text{C}}{{\text{O}}_2}{\text{(g)}} + {{\text{H}}_2}{\text{O(l)}}\);
Ignore state symbols.
Do not accept H2CO3.
(ii)
;
Accept crosses, lines or dots as electron pairs.
Accept any correct resonance structure.
Award [0] if structure is drawn without brackets and charge.
Award [0] if lone pairs not shown on O atoms.
shape: trigonal/triangular planar;
bond angle: 120° ;
Accept answers trigonal/triangular planar and 120° if M1 incorrect, but no other answers should be given credit.
(iii) (pi/\(\pi \)) electrons are delocalized/spread over more than two nuclei / charge spread (equally) over all three oxygens;
(iv) \({\text{s}}{{\text{p}}^{\text{2}}}\);
Examiners report
The use of 3.01 for the mass in the expression in \(Q = mc\Delta T\) was common, candidates were able to score in the subsequent parts and many did so, although there was often a confusion between the value Q and the required answer for \(\Delta H\). In part c) most candidates understood the error due to heat loss, but few scored the second mark, usually quoting an answer involving an error generally that was far too vague. The inability to construct a balanced equation was disappointing, many lost credit for giving \({{\text{H}}_{\text{2}}}{\text{C}}{{\text{O}}_{\text{3}}}\) as a product. The score for the structure of the carbonate ion was often lost due to the failure to show that a charge is present on the ion, however, the shape and bond angle were known well, as was delocalisation and hybridisation.
The use of 3.01 for the mass in the expression in \(Q = mc\Delta T\) was common, candidates were able to score in the subsequent parts and many did so, although there was often a confusion between the value Q and the required answer for \(\Delta H\). In part c) most candidates understood the error due to heat loss, but few scored the second mark, usually quoting an answer involving an error generally that was far too vague. The inability to construct a balanced equation was disappointing, many lost credit for giving \({{\text{H}}_{\text{2}}}{\text{C}}{{\text{O}}_{\text{3}}}\) as a product. The score for the structure of the carbonate ion was often lost due to the failure to show that a charge is present on the ion, however, the shape and bond angle were known well, as was delocalisation and hybridisation.
The use of 3.01 for the mass in the expression in \(Q = mc\Delta T\) was common, candidates were able to score in the subsequent parts and many did so, although there was often a confusion between the value Q and the required answer for \(\Delta H\). In part c) most candidates understood the error due to heat loss, but few scored the second mark, usually quoting an answer involving an error generally that was far too vague. The inability to construct a balanced equation was disappointing, many lost credit for giving \({{\text{H}}_{\text{2}}}{\text{C}}{{\text{O}}_{\text{3}}}\) as a product. The score for the structure of the carbonate ion was often lost due to the failure to show that a charge is present on the ion, however, the shape and bond angle were known well, as was delocalisation and hybridisation.
The use of 3.01 for the mass in the expression in \(Q = mc\Delta T\) was common, candidates were able to score in the subsequent parts and many did so, although there was often a confusion between the value Q and the required answer for \(\Delta H\). In part c) most candidates understood the error due to heat loss, but few scored the second mark, usually quoting an answer involving an error generally that was far too vague. The inability to construct a balanced equation was disappointing, many lost credit for giving \({{\text{H}}_{\text{2}}}{\text{C}}{{\text{O}}_{\text{3}}}\) as a product. The score for the structure of the carbonate ion was often lost due to the failure to show that a charge is present on the ion, however, the shape and bond angle were known well, as was delocalisation and hybridisation.
Phosphoryl chloride, \({\text{POC}}{{\text{l}}_{\text{3}}}\), is a dehydrating agent.
\({\text{POC}}{{\text{l}}_{\text{3}}}\left( {\text{g}} \right)\) decomposes according to the following equation.
\[{\text{2POC}}{{\text{l}}_3}{\text{(g)}} \to {\text{2PC}}{{\text{l}}_3}{\text{(g)}} + {{\text{O}}_2}{\text{(g)}}\]
POCl3 can be prepared by the reaction of phosphorus pentachloride, PCl5 , with tetraphosphorus decaoxide, P4O10.
PCl3 and Cl– can act as ligands in transition metal complexes such as Ni(PCl3)4 and [Cr(H2O)3Cl3].
Predict and explain the sign of the entropy change, \(\Delta S\), for this reaction.
Calculate the standard entropy change for the reaction, \(\Delta {S^\Theta }\), in \({\text{J}}\,{{\text{K}}^{ - 1}}{\text{mo}}{{\text{l}}^{ - 1}}\), using the data below.

Define the term standard enthalpy change of formation, \(\Delta H_{\text{f}}^\Theta \).
Calculate the standard enthalpy change for the reaction, \(\Delta {H^\Theta }\), in \({\text{kJ}}\,{\text{mo}}{{\text{l}}^{ - 1}}\), using the data below.

Determine the standard free energy change for the reaction, \(\Delta {G^\Theta }\), in \({\text{kJ}}\,{\text{mo}}{{\text{l}}^{ - 1}}\), at 298 K.
Deduce the temperature, in K, at which the reaction becomes spontaneous.
Deduce the Lewis (electron dot) structure of POCl3 (with P as the central element) and PCl3 and predict the shape of each molecule, using the valence shell electron pair repulsion theory (VSEPR).
State and explain the Cl–P–Cl bond angle in PCl3.
Deduce the Lewis (electron dot) structure of PCl5.
Predict the shape of this molecule, using the valence shell electron pair repulsion theory (VSEPR).
Identify all the different bond angles in PCl5.
PCl3Br2 has the same molecular shape as PCl5. Draw the three isomers of PCl3Br2 and deduce whether each isomer is polar or non-polar.
Define the term ligand.
Explain why the complex [Cr(H2O)3Cl3] is coloured.
Markscheme
2 mol (g) going to 3 mol (g)/increase in number of particles, therefore entropy increases/\(\Delta S\) positive / OWTTE;
Accept if numbers of moles of gas are given below the equation.
\(\left( {\Delta {S^\Theta } = [(2)(311.7) + (205.0)] - (2)(325.0) = } \right)( + )178.4{\text{ }}({\text{J}}\,{{\text{K}}^{ - 1}}{\text{mo}}{{\text{l}}^{ - 1}})\);
heat/enthalpy change/required/absorbed when 1 mol of a compound is formed from its elements in their standard states/at 100 kPa/105 Pa/1 bar;
Allow 1.01 \( \times \) 105 Pa/101 kPa/1 atm.
Allow under standard conditions or standard temperature and pressure.
Temperatures not required in definition, allow if quoted (for example, 298 K/ 25 °C – most common) but pressure value must be correct if stated.
\(\left( {\Delta {H^\Theta } = [(2)( - 288.1)] - [(2)( - 542.2)]) = } \right)( + )508.2{\text{ }}({\text{kJ}}\,{\text{mo}}{{\text{l}}^{ - 1}})\);
\(\left( {\Delta {G^\Theta } = \Delta {H^\Theta } - T\Delta {S^\Theta } = (508.2) - (298)\left( {\frac{{178.4}}{{1000}}} \right) = } \right){\text{ ( + )}}455.0{\text{ }}({\text{kJ}}\,{\text{mo}}{{\text{l}}^{ - 1}})\);
\(T > \left( {\frac{{\Delta {H^\Theta }}}{{\Delta {S^\Theta }}} = \frac{{508.2}}{{\left( {\frac{{178.4}}{{1000}}} \right)}} = } \right){\text{ }}2849{\text{ (K)}}/2576\) (°C);
Allow temperatures in the range 2848–2855 K.
Accept T = 2849(K) .
No ECF for temperatures T in the range 0–100 K.

allow any bond angle in the range 100° to less than 109° (experimental value is100°);
due to four negative charge centres/four electron pairs/four electron domains (one of which is a lone pair)/tetrahedral arrangement of electron pairs/domains;
extra repulsion due to lone pair electrons / lone pairs occupy more space (than bonding pairs) so Cl–P–Cl bond angle decreases from 109.5° / OWTTE;
;
Allow any combination of dots/crosses or lines to represent electron pairs.
Do not penalise missing lone pairs on Cl if already penalised in (b)(i).
trigonal/triangular bipyramidal;
Do not allow ECF from Lewis structures with incorrect number of negative charge centres.
120° and 90°/180°;
Ignore other bond angles such as 240° and 360°.
Apply list principle if some correct and incorrect angles given.

Award [1] for correct structure and molecular polarity.
Award [1 max] for correct representations of all three isomers.
Lone pairs not required.
species with lone/non-bonding pair (of electrons);
which bonds to metal ion (in complex) / which forms dative (covalent)/coordinate bond to metal ion (in complex);
unpaired electrons in d orbitals / d sub-level partially occupied;
d orbitals split (into two sets of different energies);
frequencies of (visible) light absorbed by electrons moving from lower to higher d levels;
colour due to remaining frequencies / complementary colour transmitted;
Allow wavelength as well as frequency.
Do not accept colour emitted.
Examiners report
Most candidates were able to calculate the entropy, enthalpy and free energy changes but made mistakes with the correct definition of enthalpy of formation’. Many referred to the gaseous state which suggests some confusion with bond enthalpies. Many were comfortable with writing Lewis structures and shapes of molecules, or some give incomplete explanations, not referring to the number of electron domains for example. Not many students could write a balanced equation for the reaction between PCl3 and H2O (A.S. 13.1.2 of the guide). In part (d) even though many knew that a ligand has a lone pair of electrons, they missed the second mark for ‘bonding to metal ion’.
Most candidates were able to calculate the entropy, enthalpy and free energy changes but made mistakes with the correct definition of enthalpy of formation’. Many referred to the gaseous state which suggests some confusion with bond enthalpies. Many were comfortable with writing Lewis structures and shapes of molecules, or some give incomplete explanations, not referring to the number of electron domains for example. Not many students could write a balanced equation for the reaction between PCl3 and H2O (A.S. 13.1.2 of the guide). In part (d) even though many knew that a ligand has a lone pair of electrons, they missed the second mark for ‘bonding to metal ion’.
Most candidates were able to calculate the entropy, enthalpy and free energy changes but made mistakes with the correct definition of enthalpy of formation’. Many referred to the gaseous state which suggests some confusion with bond enthalpies. Many were comfortable with writing Lewis structures and shapes of molecules, or some give incomplete explanations, not referring to the number of electron domains for example. Not many students could write a balanced equation for the reaction between PCl3 and H2O (A.S. 13.1.2 of the guide). In part (d) even though many knew that a ligand has a lone pair of electrons, they missed the second mark for ‘bonding to metal ion’.
Most candidates were able to calculate the entropy, enthalpy and free energy changes but made mistakes with the correct definition of enthalpy of formation’. Many referred to the gaseous state which suggests some confusion with bond enthalpies. Many were comfortable with writing Lewis structures and shapes of molecules, or some give incomplete explanations, not referring to the number of electron domains for example. Not many students could write a balanced equation for the reaction between PCl3 and H2O (A.S. 13.1.2 of the guide). In part (d) even though many knew that a ligand has a lone pair of electrons, they missed the second mark for ‘bonding to metal ion’.
Most candidates were able to calculate the entropy, enthalpy and free energy changes but made mistakes with the correct definition of enthalpy of formation’. Many referred to the gaseous state which suggests some confusion with bond enthalpies. Many were comfortable with writing Lewis structures and shapes of molecules, or some give incomplete explanations, not referring to the number of electron domains for example. Not many students could write a balanced equation for the reaction between PCl3 and H2O (A.S. 13.1.2 of the guide). In part (d) even though many knew that a ligand has a lone pair of electrons, they missed the second mark for ‘bonding to metal ion’.
Most candidates were able to calculate the entropy, enthalpy and free energy changes but made mistakes with the correct definition of enthalpy of formation’. Many referred to the gaseous state which suggests some confusion with bond enthalpies. Many were comfortable with writing Lewis structures and shapes of molecules, or some give incomplete explanations, not referring to the number of electron domains for example. Not many students could write a balanced equation for the reaction between PCl3 and H2O (A.S. 13.1.2 of the guide). In part (d) even though many knew that a ligand has a lone pair of electrons, they missed the second mark for ‘bonding to metal ion’.
Most candidates were able to calculate the entropy, enthalpy and free energy changes but made mistakes with the correct definition of enthalpy of formation’. Many referred to the gaseous state which suggests some confusion with bond enthalpies. Many were comfortable with writing Lewis structures and shapes of molecules, or some give incomplete explanations, not referring to the number of electron domains for example. Not many students could write a balanced equation for the reaction between PCl3 and H2O (A.S. 13.1.2 of the guide). In part (d) even though many knew that a ligand has a lone pair of electrons, they missed the second mark for ‘bonding to metal ion’.
Most candidates were able to calculate the entropy, enthalpy and free energy changes but made mistakes with the correct definition of enthalpy of formation’. Many referred to the gaseous state which suggests some confusion with bond enthalpies. Many were comfortable with writing Lewis structures and shapes of molecules, or some give incomplete explanations, not referring to the number of electron domains for example. Not many students could write a balanced equation for the reaction between PCl3 and H2O (A.S. 13.1.2 of the guide). In part (d) even though many knew that a ligand has a lone pair of electrons, they missed the second mark for ‘bonding to metal ion’.
Most candidates were able to calculate the entropy, enthalpy and free energy changes but made mistakes with the correct definition of enthalpy of formation’. Many referred to the gaseous state which suggests some confusion with bond enthalpies. Many were comfortable with writing Lewis structures and shapes of molecules, or some give incomplete explanations, not referring to the number of electron domains for example. Not many students could write a balanced equation for the reaction between PCl3 and H2O (A.S. 13.1.2 of the guide). In part (d) even though many knew that a ligand has a lone pair of electrons, they missed the second mark for ‘bonding to metal ion’.
Most candidates were able to calculate the entropy, enthalpy and free energy changes but made mistakes with the correct definition of enthalpy of formation’. Many referred to the gaseous state which suggests some confusion with bond enthalpies. Many were comfortable with writing Lewis structures and shapes of molecules, or some give incomplete explanations, not referring to the number of electron domains for example. Not many students could write a balanced equation for the reaction between PCl3 and H2O (A.S. 13.1.2 of the guide). In part (d) even though many knew that a ligand has a lone pair of electrons, they missed the second mark for ‘bonding to metal ion’.
Most candidates were able to calculate the entropy, enthalpy and free energy changes but made mistakes with the correct definition of enthalpy of formation’. Many referred to the gaseous state which suggests some confusion with bond enthalpies. Many were comfortable with writing Lewis structures and shapes of molecules, or some give incomplete explanations, not referring to the number of electron domains for example. Not many students could write a balanced equation for the reaction between PCl3 and H2O (A.S. 13.1.2 of the guide). In part (d) even though many knew that a ligand has a lone pair of electrons, they missed the second mark for ‘bonding to metal ion’.
Most candidates were able to calculate the entropy, enthalpy and free energy changes but made mistakes with the correct definition of enthalpy of formation’. Many referred to the gaseous state which suggests some confusion with bond enthalpies. Many were comfortable with writing Lewis structures and shapes of molecules, or some give incomplete explanations, not referring to the number of electron domains for example. Not many students could write a balanced equation for the reaction between PCl3 and H2O (A.S. 13.1.2 of the guide). In part (d) even though many knew that a ligand has a lone pair of electrons, they missed the second mark for ‘bonding to metal ion’.
Most candidates were able to calculate the entropy, enthalpy and free energy changes but made mistakes with the correct definition of enthalpy of formation’. Many referred to the gaseous state which suggests some confusion with bond enthalpies. Many were comfortable with writing Lewis structures and shapes of molecules, or some give incomplete explanations, not referring to the number of electron domains for example. Not many students could write a balanced equation for the reaction between PCl3 and H2O (A.S. 13.1.2 of the guide). In part (d) even though many knew that a ligand has a lone pair of electrons, they missed the second mark for ‘bonding to metal ion’.
Most candidates were able to calculate the entropy, enthalpy and free energy changes but made mistakes with the correct definition of enthalpy of formation’. Many referred to the gaseous state which suggests some confusion with bond enthalpies. Many were comfortable with writing Lewis structures and shapes of molecules, or some give incomplete explanations, not referring to the number of electron domains for example. Not many students could write a balanced equation for the reaction between PCl3 and H2O (A.S. 13.1.2 of the guide). In part (d) even though many knew that a ligand has a lone pair of electrons, they missed the second mark for ‘bonding to metal ion’.
In acidic solution, ions containing titanium can react according to the half-equation below.
\({\text{Ti}}{{\text{O}}^{2 + }}{\text{(aq)}} + {\text{2}}{{\text{H}}^ + }{\text{(aq)}} + {{\text{e}}^ - } \rightleftharpoons {\text{T}}{{\text{i}}^{3 + }}{\text{(aq)}} + {{\text{H}}_2}{\text{O(l)}}\) \({E^\Theta } = - 0.06{\text{ V}}\)
In the diagram below, A and B are inert electrodes and, in the aqueous solutions, all ions have a concentration of \({\text{1 mol}}\,{\text{d}}{{\text{m}}^{ - 3}}\).

Sodium, silicon and sulfur are elements in period 3 of the periodic table that all form oxides.
Although carbon and silicon both belong to group 4 of the periodic table, carbon dioxide and silicon dioxide are different in many ways.
Define the term standard electrode potential, \({E^\Theta }\).
State the initial and final oxidation numbers of titanium and hence deduce whether it is oxidized or reduced in this change.

Considering the above equilibrium, predict, giving a reason, how adding more acid would affect the strength of the \({\text{Ti}}{{\text{O}}^{2 + }}\) ion as an oxidizing agent.
In the two experiments below, predict whether a reaction would occur and deduce an equation for any reaction that takes place. Refer to Table 14 of the Data Booklet if necessary.
KI(aq) is added to a solution containing \({\text{T}}{{\text{i}}^{3 + }}{\text{(aq)}}\) ions:
Zn (s) is added to a solution containing \({\text{Ti}}{{\text{O}}^{2 + }}{\text{(aq)}}\) and \({{\text{H}}^ + }{\text{(aq)}}\) ions:
Using Table 14 of the Data Booklet, state the balanced half-equation for the reaction that occurs at electrode A and whether it involves oxidation or reduction.
Calculate the cell potential in V.
On the diagram above label with an arrow
• the direction of electron flow in the wire
• the direction in which the positive ions flow in the salt bridge.
Compare the properties of the three oxides by completing the table below.

Sulfur dioxide is a significant contributor to acid deposition. Identify a major, man-made source of this pollutant.
As well as the oxide above, sodium forms a peroxide that contains the peroxide ion, \({\text{O}}_2^{2 - }\). Draw the Lewis (electron dot) structure of the peroxide ion.
Describe the differences in the hybridization of these group 4 elements and the precise nature of the bonds that they form with the oxygen atoms.
Xenon, although a noble gas, forms an oxide, \({\text{Xe}}{{\text{O}}_{\text{2}}}\), that has a structure related to that of \({\text{Si}}{{\text{O}}_{\text{2}}}\). Compare the geometry around the silicon atoms in \({\text{Si}}{{\text{O}}_{\text{2}}}\) with the geometry around the xenon atoms in \({\text{Xe}}{{\text{O}}_{\text{2}}}\), using the valence shell electron pair repulsion (VSEPR) theory.
Markscheme
potential of the half-cell / reduction half-reaction under standard conditions measured relative to standard hydrogen electrode/SHE;
Allow instead of standard conditions, solute concentration of 1 mol dm–3 or 1 bar/1 atm (pressure) for gases.

+ sign must be present. Do not award mark for incorrect notation 4, 4+, 3, 3+ etc.
Do not award M2 if inconsistent with M1.
increases / makes it stronger;
(more \({{\text{H}}^ + }\) would) drive/shift equilibrium to the right/towards products (accepting more electrons);
KI(aq) is added to a solution containing Ti3+(aq) ions:
no reaction;
Zn(s) is added to a solution containing TiO2+(aq) and H+(aq) ions:
\({\text{Zn(s)}} + {\text{2Ti}}{{\text{O}}^{2 + }}{\text{(aq)}} + {\text{4}}{{\text{H}}^ + }{\text{(aq)}} \to {\text{Z}}{{\text{n}}^{2 + }}{\text{(aq)}} + {\text{2T}}{{\text{i}}^{3 + }}{\text{(aq)}} + {\text{2}}{{\text{H}}_2}{\text{O(l)}}\)
correct reactants and products;
balanced equation;
Ignore state symbols.
\({\text{F}}{{\text{e}}^{3 + }}{\text{(aq)}} + {{\text{e}}^ - } \to {\text{F}}{{\text{e}}^{2 + }}{\text{(aq)}}\);
Ignore state symbols.
Accept equilibrium arrow.
reduction;
Do not apply ECF.
\(( + 0.77 - ( - 0.06)) = ( + )0.83{\text{ (V)}}\);
Do not accept –0.83 V.
wire and salt bridge both have arrows from B to A;
Accept arrows above or below each provided it is obvious which they refer to.
Apply ECF from part (i).

For any parts (properties) where mark not awarded, award [1] for every three correct responses.
(combustion of) coal / diesel;
Accept “burning of fossil fuels”, “industrial processes” or “combustion/car engines”.
Do not accept “Contact process”.

e-pairs correct;
charges in correct positions;
Accept lines, or pairs of dots or crosses, for electron pairs.
Accept
.
C is sp hybridized and Si is \({\text{s}}{{\text{p}}^{\text{3}}}\) hybridized;
C–O bond in \({\text{C}}{{\text{O}}_{\text{2}}}\) has one \(\sigma \)-bond and one \(\pi \)-bond;
Si–O bond in \({\text{Si}}{{\text{O}}_{\text{2}}}\) has one \(\sigma \)-bond only;
Award [1 max] for last two marking points for “C–O double bond and Si–O single bond”.
silicon-oxygen bonds will have a tetrahedral distribution;
xenon-oxygen bonds will have a square planar distribution;
xenon dioxide has two non-bonding/lone pairs of electrons;
Award any of the above marks if clearly indicated in suitable diagrams.
Examiners report
The required definition and the effect of acid on the oxidizing power of \({\text{Ti}}{{\text{O}}^{2 + }}\) was often well done, though it proved a challenge for some candidates, and most could interpret the change in terms of oxidation numbers. Very few candidates could use \({E^\Theta }\) values to predict whether a reaction with another half-cell would occur and even less could correctly combine the half-equations to produce a balanced equation for the overall reaction. Relatively few candidates managed to gain full marks for the questions relating to the voltaic cell illustrated, with the different parts appearing to be of approximately equal difficulty. The nature of the period 3 oxides was generally well appreciated, though often the effect on pH was expressed as, for example, “basic” rather than “increases”. In spite of the efficiency of modern plants many considered the contact process to be a major source of sulfur dioxide pollution, rather than combustion of coal and other “high sulfur” fossil fuels. The comparison of the structure of silicon dioxide to those of carbon and xenon dioxides was poorly done, the root cause often being a lack of awareness of the structure of silicon dioxide. Many candidates could however write correct equations for the reaction of silicon tetrachloride with water.
The required definition and the effect of acid on the oxidizing power of \({\text{Ti}}{{\text{O}}^{2 + }}\) was often well done, though it proved a challenge for some candidates, and most could interpret the change in terms of oxidation numbers. Very few candidates could use \({E^\Theta }\) values to predict whether a reaction with another half-cell would occur and even less could correctly combine the half-equations to produce a balanced equation for the overall reaction. Relatively few candidates managed to gain full marks for the questions relating to the voltaic cell illustrated, with the different parts appearing to be of approximately equal difficulty. The nature of the period 3 oxides was generally well appreciated, though often the effect on pH was expressed as, for example, “basic” rather than “increases”. In spite of the efficiency of modern plants many considered the contact process to be a major source of sulfur dioxide pollution, rather than combustion of coal and other “high sulfur” fossil fuels. The comparison of the structure of silicon dioxide to those of carbon and xenon dioxides was poorly done, the root cause often being a lack of awareness of the structure of silicon dioxide. Many candidates could however write correct equations for the reaction of silicon tetrachloride with water.
The required definition and the effect of acid on the oxidizing power of \({\text{Ti}}{{\text{O}}^{2 + }}\) was often well done, though it proved a challenge for some candidates, and most could interpret the change in terms of oxidation numbers. Very few candidates could use \({E^\Theta }\) values to predict whether a reaction with another half-cell would occur and even less could correctly combine the half-equations to produce a balanced equation for the overall reaction. Relatively few candidates managed to gain full marks for the questions relating to the voltaic cell illustrated, with the different parts appearing to be of approximately equal difficulty. The nature of the period 3 oxides was generally well appreciated, though often the effect on pH was expressed as, for example, “basic” rather than “increases”. In spite of the efficiency of modern plants many considered the contact process to be a major source of sulfur dioxide pollution, rather than combustion of coal and other “high sulfur” fossil fuels. The comparison of the structure of silicon dioxide to those of carbon and xenon dioxides was poorly done, the root cause often being a lack of awareness of the structure of silicon dioxide. Many candidates could however write correct equations for the reaction of silicon tetrachloride with water.
The required definition and the effect of acid on the oxidizing power of \({\text{Ti}}{{\text{O}}^{2 + }}\) was often well done, though it proved a challenge for some candidates, and most could interpret the change in terms of oxidation numbers. Very few candidates could use \({E^\Theta }\) values to predict whether a reaction with another half-cell would occur and even less could correctly combine the half-equations to produce a balanced equation for the overall reaction. Relatively few candidates managed to gain full marks for the questions relating to the voltaic cell illustrated, with the different parts appearing to be of approximately equal difficulty. The nature of the period 3 oxides was generally well appreciated, though often the effect on pH was expressed as, for example, “basic” rather than “increases”. In spite of the efficiency of modern plants many considered the contact process to be a major source of sulfur dioxide pollution, rather than combustion of coal and other “high sulfur” fossil fuels. The comparison of the structure of silicon dioxide to those of carbon and xenon dioxides was poorly done, the root cause often being a lack of awareness of the structure of silicon dioxide. Many candidates could however write correct equations for the reaction of silicon tetrachloride with water.
The required definition and the effect of acid on the oxidizing power of \({\text{Ti}}{{\text{O}}^{2 + }}\) was often well done, though it proved a challenge for some candidates, and most could interpret the change in terms of oxidation numbers. Very few candidates could use \({E^\Theta }\) values to predict whether a reaction with another half-cell would occur and even less could correctly combine the half-equations to produce a balanced equation for the overall reaction. Relatively few candidates managed to gain full marks for the questions relating to the voltaic cell illustrated, with the different parts appearing to be of approximately equal difficulty. The nature of the period 3 oxides was generally well appreciated, though often the effect on pH was expressed as, for example, “basic” rather than “increases”. In spite of the efficiency of modern plants many considered the contact process to be a major source of sulfur dioxide pollution, rather than combustion of coal and other “high sulfur” fossil fuels. The comparison of the structure of silicon dioxide to those of carbon and xenon dioxides was poorly done, the root cause often being a lack of awareness of the structure of silicon dioxide. Many candidates could however write correct equations for the reaction of silicon tetrachloride with water.
The required definition and the effect of acid on the oxidizing power of \({\text{Ti}}{{\text{O}}^{2 + }}\) was often well done, though it proved a challenge for some candidates, and most could interpret the change in terms of oxidation numbers. Very few candidates could use \({E^\Theta }\) values to predict whether a reaction with another half-cell would occur and even less could correctly combine the half-equations to produce a balanced equation for the overall reaction. Relatively few candidates managed to gain full marks for the questions relating to the voltaic cell illustrated, with the different parts appearing to be of approximately equal difficulty. The nature of the period 3 oxides was generally well appreciated, though often the effect on pH was expressed as, for example, “basic” rather than “increases”. In spite of the efficiency of modern plants many considered the contact process to be a major source of sulfur dioxide pollution, rather than combustion of coal and other “high sulfur” fossil fuels. The comparison of the structure of silicon dioxide to those of carbon and xenon dioxides was poorly done, the root cause often being a lack of awareness of the structure of silicon dioxide. Many candidates could however write correct equations for the reaction of silicon tetrachloride with water.
The required definition and the effect of acid on the oxidizing power of \({\text{Ti}}{{\text{O}}^{2 + }}\) was often well done, though it proved a challenge for some candidates, and most could interpret the change in terms of oxidation numbers. Very few candidates could use \({E^\Theta }\) values to predict whether a reaction with another half-cell would occur and even less could correctly combine the half-equations to produce a balanced equation for the overall reaction. Relatively few candidates managed to gain full marks for the questions relating to the voltaic cell illustrated, with the different parts appearing to be of approximately equal difficulty. The nature of the period 3 oxides was generally well appreciated, though often the effect on pH was expressed as, for example, “basic” rather than “increases”. In spite of the efficiency of modern plants many considered the contact process to be a major source of sulfur dioxide pollution, rather than combustion of coal and other “high sulfur” fossil fuels. The comparison of the structure of silicon dioxide to those of carbon and xenon dioxides was poorly done, the root cause often being a lack of awareness of the structure of silicon dioxide. Many candidates could however write correct equations for the reaction of silicon tetrachloride with water.
The required definition and the effect of acid on the oxidizing power of \({\text{Ti}}{{\text{O}}^{2 + }}\) was often well done, though it proved a challenge for some candidates, and most could interpret the change in terms of oxidation numbers. Very few candidates could use \({E^\Theta }\) values to predict whether a reaction with another half-cell would occur and even less could correctly combine the half-equations to produce a balanced equation for the overall reaction. Relatively few candidates managed to gain full marks for the questions relating to the voltaic cell illustrated, with the different parts appearing to be of approximately equal difficulty. The nature of the period 3 oxides was generally well appreciated, though often the effect on pH was expressed as, for example, “basic” rather than “increases”. In spite of the efficiency of modern plants many considered the contact process to be a major source of sulfur dioxide pollution, rather than combustion of coal and other “high sulfur” fossil fuels. The comparison of the structure of silicon dioxide to those of carbon and xenon dioxides was poorly done, the root cause often being a lack of awareness of the structure of silicon dioxide. Many candidates could however write correct equations for the reaction of silicon tetrachloride with water.
The required definition and the effect of acid on the oxidizing power of \({\text{Ti}}{{\text{O}}^{2 + }}\) was often well done, though it proved a challenge for some candidates, and most could interpret the change in terms of oxidation numbers. Very few candidates could use \({E^\Theta }\) values to predict whether a reaction with another half-cell would occur and even less could correctly combine the half-equations to produce a balanced equation for the overall reaction. Relatively few candidates managed to gain full marks for the questions relating to the voltaic cell illustrated, with the different parts appearing to be of approximately equal difficulty. The nature of the period 3 oxides was generally well appreciated, though often the effect on pH was expressed as, for example, “basic” rather than “increases”. In spite of the efficiency of modern plants many considered the contact process to be a major source of sulfur dioxide pollution, rather than combustion of coal and other “high sulfur” fossil fuels. The comparison of the structure of silicon dioxide to those of carbon and xenon dioxides was poorly done, the root cause often being a lack of awareness of the structure of silicon dioxide. Many candidates could however write correct equations for the reaction of silicon tetrachloride with water.
The required definition and the effect of acid on the oxidizing power of \({\text{Ti}}{{\text{O}}^{2 + }}\) was often well done, though it proved a challenge for some candidates, and most could interpret the change in terms of oxidation numbers. Very few candidates could use \({E^\Theta }\) values to predict whether a reaction with another half-cell would occur and even less could correctly combine the half-equations to produce a balanced equation for the overall reaction. Relatively few candidates managed to gain full marks for the questions relating to the voltaic cell illustrated, with the different parts appearing to be of approximately equal difficulty. The nature of the period 3 oxides was generally well appreciated, though often the effect on pH was expressed as, for example, “basic” rather than “increases”. In spite of the efficiency of modern plants many considered the contact process to be a major source of sulfur dioxide pollution, rather than combustion of coal and other “high sulfur” fossil fuels. The comparison of the structure of silicon dioxide to those of carbon and xenon dioxides was poorly done, the root cause often being a lack of awareness of the structure of silicon dioxide. Many candidates could however write correct equations for the reaction of silicon tetrachloride with water.
The required definition and the effect of acid on the oxidizing power of \({\text{Ti}}{{\text{O}}^{2 + }}\) was often well done, though it proved a challenge for some candidates, and most could interpret the change in terms of oxidation numbers. Very few candidates could use \({E^\Theta }\) values to predict whether a reaction with another half-cell would occur and even less could correctly combine the half-equations to produce a balanced equation for the overall reaction. Relatively few candidates managed to gain full marks for the questions relating to the voltaic cell illustrated, with the different parts appearing to be of approximately equal difficulty. The nature of the period 3 oxides was generally well appreciated, though often the effect on pH was expressed as, for example, “basic” rather than “increases”. In spite of the efficiency of modern plants many considered the contact process to be a major source of sulfur dioxide pollution, rather than combustion of coal and other “high sulfur” fossil fuels. The comparison of the structure of silicon dioxide to those of carbon and xenon dioxides was poorly done, the root cause often being a lack of awareness of the structure of silicon dioxide. Many candidates could however write correct equations for the reaction of silicon tetrachloride with water.
The required definition and the effect of acid on the oxidizing power of \({\text{Ti}}{{\text{O}}^{2 + }}\) was often well done, though it proved a challenge for some candidates, and most could interpret the change in terms of oxidation numbers. Very few candidates could use \({E^\Theta }\) values to predict whether a reaction with another half-cell would occur and even less could correctly combine the half-equations to produce a balanced equation for the overall reaction. Relatively few candidates managed to gain full marks for the questions relating to the voltaic cell illustrated, with the different parts appearing to be of approximately equal difficulty. The nature of the period 3 oxides was generally well appreciated, though often the effect on pH was expressed as, for example, “basic” rather than “increases”. In spite of the efficiency of modern plants many considered the contact process to be a major source of sulfur dioxide pollution, rather than combustion of coal and other “high sulfur” fossil fuels. The comparison of the structure of silicon dioxide to those of carbon and xenon dioxides was poorly done, the root cause often being a lack of awareness of the structure of silicon dioxide. Many candidates could however write correct equations for the reaction of silicon tetrachloride with water.
Consider the structure and bonding in \({\text{MgC}}{{\text{l}}_{\text{2}}}\) and \({\text{PC}}{{\text{l}}_{\text{3}}}\).
Consider the molecules \({\text{PB}}{{\text{r}}_{\text{3}}}\) and \({\text{S}}{{\text{F}}_{\text{4}}}\).
The structure of cis-but-2-ene-1,4-dioic acid is shown below.

State and explain the electrical conductivities of these two chloride compounds in their liquid state.
Suggest, giving your reasons, the approximate pH values of the solutions formed by adding each chloride compound separately to distilled water.
\({\text{MgC}}{{\text{l}}_{\text{2}}}\)
\({\text{PC}}{{\text{l}}_{\text{3}}}\)
Identify the acid-base character of the oxides of each of the elements from sodium to chlorine in period 3.
State the equations for the separate reactions of sodium oxide and phosphorus(V) oxide with water.
Deduce the Lewis (electron dot) structure of both molecules.
Predict the shapes of the two molecules, giving the Br–P–Br bond angle in \({\text{PB}}{{\text{r}}_{\text{3}}}\) and the F–S–F bond angles in \({\text{S}}{{\text{F}}_{\text{4}}}\).

Explain why both \({\text{PB}}{{\text{r}}_{\text{3}}}\) and \({\text{S}}{{\text{F}}_{\text{4}}}\) are polar.
Describe the covalent bond between carbon and hydrogen in the molecule above and how it is formed.
Deduce the hybridization of the oxygen atoms labelled \(\alpha \) and \(\beta \).
\(\alpha \):
\(\beta \):
Describe sigma \((\sigma )\) and pi \((\pi )\) bonds between atoms.
\(\sigma \) bond:
\(\pi \) bond:
Identify the number of sigma \((\sigma )\) and pi \((\pi )\) bonds present in a molecule of cis-but-2-ene-1,4-dioic acid.
Markscheme
\({\text{MgC}}{{\text{l}}_{\text{2}}}\) conducts electricity and \({\text{PC}}{{\text{l}}_{\text{3}}}\) does not;
\({\text{MgC}}{{\text{l}}_{\text{2}}}\) is ionic and \({\text{PC}}{{\text{l}}_{\text{3}}}\) is covalent/molecular;
ions/charged particles can move in \({\text{MgC}}{{\text{l}}_{\text{2}}}\) / no free charged particles in \({\text{PC}}{{\text{l}}_{\text{3}}}\);
Award [1 max] if all three points correct for one substance but not other.
\(MgC{l_{\text{2}}}\):
\(4 \leqslant {\text{pH}} \leqslant 6.9\);
high charge density/high charge and small size of \({\text{M}}{{\text{g}}^{2 + }}\) makes \({[{\text{Mg}}{({{\text{H}}_{\text{2}}}{\text{O}})_{\text{6}}}{\text{]}}^{2 + }}\) hydrolyse / polarizes water to produce \({{\text{H}}^ + }\);
\(PC{l_3}\):
\(0 \leqslant {\text{pH}} \leqslant 4\);
(reacts with water to) form \({\text{H}}{{\text{C}}_{\text{l}}}{\text{/}}{{\text{H}}_{\text{3}}}{\text{P}}{{\text{O}}_{\text{3}}}\);
Do not accept \(H3P{O_4}\).
Na, Mg (oxides): basic
Al (oxide): amphoteric
Do not accept amphiprotic.
Si to Cl (oxides): acidic
Award [2] for all three listed sets correct.
Award [1] for one or two listed sets correct.
Award [1] for stating oxides become more acidic towards right/Cl or more basic towards left/Na.
Do not penalize if reference is to Ar instead of Cl.
Do not penalize for incorrect formulas of oxides.
\({\text{N}}{{\text{a}}_2}{\text{O}}({\text{s}}) + {{\text{H}}_2}{\text{O}}({\text{l}}) \to {\text{2NaOH(aq)}}\);
\({{\text{P}}_4}{{\text{O}}_{10}}({\text{s}}) + {\text{6}}{{\text{H}}_2}{\text{O}}({\text{l}}) \to {\text{4}}{{\text{H}}_3}{\text{P}}{{\text{O}}_4}{\text{(aq)}}\);
Ignore state symbols.
Accept \({P_2}{O_5}(s) + 3{H_2}O(l) \to 2{H_3}P{O_4}(aq)\).
Do not award marks if incorrect formulas of the oxides are used.

Penalize lone pairs missing on Br and F once only.
Accept any combination of lines, dots or crosses to represent electron pairs.

P–Br and S–F bonds are polar / bonds in both molecules are polar;
non-symmetrical distribution of electron cloud / polar bonds/dipoles do not cancel because of non-symmetrical shape;
M2 may also be scored with a suitable diagram showing the vectorial addition of the individual S–F dipole moments to show a net dipole moment centred along the axis between the \({F_{eq}}\)–S–\({F_{eq}}\) bond.
EITHER
(electrostatic) attraction between (positively charged) nuclei and a pair of electrons;
formed as a result of electron sharing (between the carbon and hydrogen nuclei);
OR
sigma bond formed by overlap of atomic orbitals;
s orbital from H and \({\text{p/s}}{{\text{p}}^{\text{2}}}\) from carbon;
\(\alpha \): \({\text{s}}{{\text{p}}^{\text{3}}}\) and \(\beta \): \({\text{s}}{{\text{p}}^{\text{2}}}\);
Accept if numbers are given as subscripts.
\(\sigma \) bond:
end-on / axial overlap of two orbitals;
\(\pi \) bond:
sideways overlap of two (parallel) p orbitals;
Accept suitable diagrams for both marks.
11 \(\sigma \) and 3 \(\pi \);
Examiners report
Most candidates knew about the relative conductivities of magnesium chloride and phosphorous trichloride and were able to relate it to bonding. The third mark was however more problematic as many continue to equate conductivity to mobile electrons rather than ions. The pH of solutions of aqueous chlorides was not generally well known with only a small number of candidates gaining full marks. An explanation of the acidity of magnesium in terms of the charge density of the \({\text{M}}{{\text{g}}^{2 + }}\) ion proved to be particularly challenging. One teacher commented that the reaction of \({\text{PC}}{{\text{l}}_{\text{3}}}\) and water is not mentioned in the guide but it is included in the teacher note to Assessment statement 13.1.1 of the current guide (although it is not in the new guide which will be assessed for the first time in May 2016). The acidity of the period 3 oxides was generally well known but many struggled to give balanced equations to describe the reactions of sodium and phosphorous(V) oxide with water, with many confusing the reaction of sodium oxide with that of sodium giving hydrogen as a product. Most candidates were able to give correct Lewis structure and shapes and bond angles but marks were lost, as in previous session due to missing lone pairs either on the central atoms or the Br and F atoms. It should be noted that it is difficult to award ECF marks in these questions so students need to avoid careless errors. Many struggled to give a complete explanation of the polarity of the two compounds as although the molecule was identified as being asymmetrical, few stated that the P–Br and S–F bonds are polar. Only a minority of students stated that a covalent bond was an attraction between nuclei and a pair of electrons and many were unable to identify the s-orbital from hydrogen and the \({\text{p/s}}{{\text{p}}^{\text{2}}}\) orbital from carbon as the overlapping orbitals in the covalent bond. The hybridisation of oxygen was generally well known as was sigma and pi bonding.
Most candidates knew about the relative conductivities of magnesium chloride and phosphorous trichloride and were able to relate it to bonding. The third mark was however more problematic as many continue to equate conductivity to mobile electrons rather than ions. The pH of solutions of aqueous chlorides was not generally well known with only a small number of candidates gaining full marks. An explanation of the acidity of magnesium in terms of the charge density of the \({\text{M}}{{\text{g}}^{2 + }}\) ion proved to be particularly challenging. One teacher commented that the reaction of \({\text{PC}}{{\text{l}}_{\text{3}}}\) and water is not mentioned in the guide but it is included in the teacher note to Assessment statement 13.1.1 of the current guide (although it is not in the new guide which will be assessed for the first time in May 2016). The acidity of the period 3 oxides was generally well known but many struggled to give balanced equations to describe the reactions of sodium and phosphorous(V) oxide with water, with many confusing the reaction of sodium oxide with that of sodium giving hydrogen as a product. Most candidates were able to give correct Lewis structure and shapes and bond angles but marks were lost, as in previous session due to missing lone pairs either on the central atoms or the Br and F atoms. It should be noted that it is difficult to award ECF marks in these questions so students need to avoid careless errors. Many struggled to give a complete explanation of the polarity of the two compounds as although the molecule was identified as being asymmetrical, few stated that the P–Br and S–F bonds are polar. Only a minority of students stated that a covalent bond was an attraction between nuclei and a pair of electrons and many were unable to identify the s-orbital from hydrogen and the \({\text{p/s}}{{\text{p}}^{\text{2}}}\) orbital from carbon as the overlapping orbitals in the covalent bond. The hybridisation of oxygen was generally well known as was sigma and pi bonding.
Most candidates knew about the relative conductivities of magnesium chloride and phosphorous trichloride and were able to relate it to bonding. The third mark was however more problematic as many continue to equate conductivity to mobile electrons rather than ions. The pH of solutions of aqueous chlorides was not generally well known with only a small number of candidates gaining full marks. An explanation of the acidity of magnesium in terms of the charge density of the \({\text{M}}{{\text{g}}^{2 + }}\) ion proved to be particularly challenging. One teacher commented that the reaction of \({\text{PC}}{{\text{l}}_{\text{3}}}\) and water is not mentioned in the guide but it is included in the teacher note to Assessment statement 13.1.1 of the current guide (although it is not in the new guide which will be assessed for the first time in May 2016). The acidity of the period 3 oxides was generally well known but many struggled to give balanced equations to describe the reactions of sodium and phosphorous(V) oxide with water, with many confusing the reaction of sodium oxide with that of sodium giving hydrogen as a product. Most candidates were able to give correct Lewis structure and shapes and bond angles but marks were lost, as in previous session due to missing lone pairs either on the central atoms or the Br and F atoms. It should be noted that it is difficult to award ECF marks in these questions so students need to avoid careless errors. Many struggled to give a complete explanation of the polarity of the two compounds as although the molecule was identified as being asymmetrical, few stated that the P–Br and S–F bonds are polar. Only a minority of students stated that a covalent bond was an attraction between nuclei and a pair of electrons and many were unable to identify the s-orbital from hydrogen and the \({\text{p/s}}{{\text{p}}^{\text{2}}}\) orbital from carbon as the overlapping orbitals in the covalent bond. The hybridisation of oxygen was generally well known as was sigma and pi bonding.
Most candidates knew about the relative conductivities of magnesium chloride and phosphorous trichloride and were able to relate it to bonding. The third mark was however more problematic as many continue to equate conductivity to mobile electrons rather than ions. The pH of solutions of aqueous chlorides was not generally well known with only a small number of candidates gaining full marks. An explanation of the acidity of magnesium in terms of the charge density of the \({\text{M}}{{\text{g}}^{2 + }}\) ion proved to be particularly challenging. One teacher commented that the reaction of \({\text{PC}}{{\text{l}}_{\text{3}}}\) and water is not mentioned in the guide but it is included in the teacher note to Assessment statement 13.1.1 of the current guide (although it is not in the new guide which will be assessed for the first time in May 2016). The acidity of the period 3 oxides was generally well known but many struggled to give balanced equations to describe the reactions of sodium and phosphorous(V) oxide with water, with many confusing the reaction of sodium oxide with that of sodium giving hydrogen as a product. Most candidates were able to give correct Lewis structure and shapes and bond angles but marks were lost, as in previous session due to missing lone pairs either on the central atoms or the Br and F atoms. It should be noted that it is difficult to award ECF marks in these questions so students need to avoid careless errors. Many struggled to give a complete explanation of the polarity of the two compounds as although the molecule was identified as being asymmetrical, few stated that the P–Br and S–F bonds are polar. Only a minority of students stated that a covalent bond was an attraction between nuclei and a pair of electrons and many were unable to identify the s-orbital from hydrogen and the \({\text{p/s}}{{\text{p}}^{\text{2}}}\) orbital from carbon as the overlapping orbitals in the covalent bond. The hybridisation of oxygen was generally well known as was sigma and pi bonding.
Most candidates knew about the relative conductivities of magnesium chloride and phosphorous trichloride and were able to relate it to bonding. The third mark was however more problematic as many continue to equate conductivity to mobile electrons rather than ions. The pH of solutions of aqueous chlorides was not generally well known with only a small number of candidates gaining full marks. An explanation of the acidity of magnesium in terms of the charge density of the \({\text{M}}{{\text{g}}^{2 + }}\) ion proved to be particularly challenging. One teacher commented that the reaction of \({\text{PC}}{{\text{l}}_{\text{3}}}\) and water is not mentioned in the guide but it is included in the teacher note to Assessment statement 13.1.1 of the current guide (although it is not in the new guide which will be assessed for the first time in May 2016). The acidity of the period 3 oxides was generally well known but many struggled to give balanced equations to describe the reactions of sodium and phosphorous(V) oxide with water, with many confusing the reaction of sodium oxide with that of sodium giving hydrogen as a product. Most candidates were able to give correct Lewis structure and shapes and bond angles but marks were lost, as in previous session due to missing lone pairs either on the central atoms or the Br and F atoms. It should be noted that it is difficult to award ECF marks in these questions so students need to avoid careless errors. Many struggled to give a complete explanation of the polarity of the two compounds as although the molecule was identified as being asymmetrical, few stated that the P–Br and S–F bonds are polar. Only a minority of students stated that a covalent bond was an attraction between nuclei and a pair of electrons and many were unable to identify the s-orbital from hydrogen and the \({\text{p/s}}{{\text{p}}^{\text{2}}}\) orbital from carbon as the overlapping orbitals in the covalent bond. The hybridisation of oxygen was generally well known as was sigma and pi bonding.
Most candidates knew about the relative conductivities of magnesium chloride and phosphorous trichloride and were able to relate it to bonding. The third mark was however more problematic as many continue to equate conductivity to mobile electrons rather than ions. The pH of solutions of aqueous chlorides was not generally well known with only a small number of candidates gaining full marks. An explanation of the acidity of magnesium in terms of the charge density of the \({\text{M}}{{\text{g}}^{2 + }}\) ion proved to be particularly challenging. One teacher commented that the reaction of \({\text{PC}}{{\text{l}}_{\text{3}}}\) and water is not mentioned in the guide but it is included in the teacher note to Assessment statement 13.1.1 of the current guide (although it is not in the new guide which will be assessed for the first time in May 2016). The acidity of the period 3 oxides was generally well known but many struggled to give balanced equations to describe the reactions of sodium and phosphorous(V) oxide with water, with many confusing the reaction of sodium oxide with that of sodium giving hydrogen as a product. Most candidates were able to give correct Lewis structure and shapes and bond angles but marks were lost, as in previous session due to missing lone pairs either on the central atoms or the Br and F atoms. It should be noted that it is difficult to award ECF marks in these questions so students need to avoid careless errors. Many struggled to give a complete explanation of the polarity of the two compounds as although the molecule was identified as being asymmetrical, few stated that the P–Br and S–F bonds are polar. Only a minority of students stated that a covalent bond was an attraction between nuclei and a pair of electrons and many were unable to identify the s-orbital from hydrogen and the \({\text{p/s}}{{\text{p}}^{\text{2}}}\) orbital from carbon as the overlapping orbitals in the covalent bond. The hybridisation of oxygen was generally well known as was sigma and pi bonding.
Most candidates knew about the relative conductivities of magnesium chloride and phosphorous trichloride and were able to relate it to bonding. The third mark was however more problematic as many continue to equate conductivity to mobile electrons rather than ions. The pH of solutions of aqueous chlorides was not generally well known with only a small number of candidates gaining full marks. An explanation of the acidity of magnesium in terms of the charge density of the \({\text{M}}{{\text{g}}^{2 + }}\) ion proved to be particularly challenging. One teacher commented that the reaction of \({\text{PC}}{{\text{l}}_{\text{3}}}\) and water is not mentioned in the guide but it is included in the teacher note to Assessment statement 13.1.1 of the current guide (although it is not in the new guide which will be assessed for the first time in May 2016). The acidity of the period 3 oxides was generally well known but many struggled to give balanced equations to describe the reactions of sodium and phosphorous(V) oxide with water, with many confusing the reaction of sodium oxide with that of sodium giving hydrogen as a product. Most candidates were able to give correct Lewis structure and shapes and bond angles but marks were lost, as in previous session due to missing lone pairs either on the central atoms or the Br and F atoms. It should be noted that it is difficult to award ECF marks in these questions so students need to avoid careless errors. Many struggled to give a complete explanation of the polarity of the two compounds as although the molecule was identified as being asymmetrical, few stated that the P–Br and S–F bonds are polar. Only a minority of students stated that a covalent bond was an attraction between nuclei and a pair of electrons and many were unable to identify the s-orbital from hydrogen and the \({\text{p/s}}{{\text{p}}^{\text{2}}}\) orbital from carbon as the overlapping orbitals in the covalent bond. The hybridisation of oxygen was generally well known as was sigma and pi bonding.
Most candidates knew about the relative conductivities of magnesium chloride and phosphorous trichloride and were able to relate it to bonding. The third mark was however more problematic as many continue to equate conductivity to mobile electrons rather than ions. The pH of solutions of aqueous chlorides was not generally well known with only a small number of candidates gaining full marks. An explanation of the acidity of magnesium in terms of the charge density of the \({\text{M}}{{\text{g}}^{2 + }}\) ion proved to be particularly challenging. One teacher commented that the reaction of \({\text{PC}}{{\text{l}}_{\text{3}}}\) and water is not mentioned in the guide but it is included in the teacher note to Assessment statement 13.1.1 of the current guide (although it is not in the new guide which will be assessed for the first time in May 2016). The acidity of the period 3 oxides was generally well known but many struggled to give balanced equations to describe the reactions of sodium and phosphorous(V) oxide with water, with many confusing the reaction of sodium oxide with that of sodium giving hydrogen as a product. Most candidates were able to give correct Lewis structure and shapes and bond angles but marks were lost, as in previous session due to missing lone pairs either on the central atoms or the Br and F atoms. It should be noted that it is difficult to award ECF marks in these questions so students need to avoid careless errors. Many struggled to give a complete explanation of the polarity of the two compounds as although the molecule was identified as being asymmetrical, few stated that the P–Br and S–F bonds are polar. Only a minority of students stated that a covalent bond was an attraction between nuclei and a pair of electrons and many were unable to identify the s-orbital from hydrogen and the \({\text{p/s}}{{\text{p}}^{\text{2}}}\) orbital from carbon as the overlapping orbitals in the covalent bond. The hybridisation of oxygen was generally well known as was sigma and pi bonding.
Most candidates knew about the relative conductivities of magnesium chloride and phosphorous trichloride and were able to relate it to bonding. The third mark was however more problematic as many continue to equate conductivity to mobile electrons rather than ions. The pH of solutions of aqueous chlorides was not generally well known with only a small number of candidates gaining full marks. An explanation of the acidity of magnesium in terms of the charge density of the \({\text{M}}{{\text{g}}^{2 + }}\) ion proved to be particularly challenging. One teacher commented that the reaction of \({\text{PC}}{{\text{l}}_{\text{3}}}\) and water is not mentioned in the guide but it is included in the teacher note to Assessment statement 13.1.1 of the current guide (although it is not in the new guide which will be assessed for the first time in May 2016). The acidity of the period 3 oxides was generally well known but many struggled to give balanced equations to describe the reactions of sodium and phosphorous(V) oxide with water, with many confusing the reaction of sodium oxide with that of sodium giving hydrogen as a product. Most candidates were able to give correct Lewis structure and shapes and bond angles but marks were lost, as in previous session due to missing lone pairs either on the central atoms or the Br and F atoms. It should be noted that it is difficult to award ECF marks in these questions so students need to avoid careless errors. Many struggled to give a complete explanation of the polarity of the two compounds as although the molecule was identified as being asymmetrical, few stated that the P–Br and S–F bonds are polar. Only a minority of students stated that a covalent bond was an attraction between nuclei and a pair of electrons and many were unable to identify the s-orbital from hydrogen and the \({\text{p/s}}{{\text{p}}^{\text{2}}}\) orbital from carbon as the overlapping orbitals in the covalent bond. The hybridisation of oxygen was generally well known as was sigma and pi bonding.
Most candidates knew about the relative conductivities of magnesium chloride and phosphorous trichloride and were able to relate it to bonding. The third mark was however more problematic as many continue to equate conductivity to mobile electrons rather than ions. The pH of solutions of aqueous chlorides was not generally well known with only a small number of candidates gaining full marks. An explanation of the acidity of magnesium in terms of the charge density of the \({\text{M}}{{\text{g}}^{2 + }}\) ion proved to be particularly challenging. One teacher commented that the reaction of \({\text{PC}}{{\text{l}}_{\text{3}}}\) and water is not mentioned in the guide but it is included in the teacher note to Assessment statement 13.1.1 of the current guide (although it is not in the new guide which will be assessed for the first time in May 2016). The acidity of the period 3 oxides was generally well known but many struggled to give balanced equations to describe the reactions of sodium and phosphorous(V) oxide with water, with many confusing the reaction of sodium oxide with that of sodium giving hydrogen as a product. Most candidates were able to give correct Lewis structure and shapes and bond angles but marks were lost, as in previous session due to missing lone pairs either on the central atoms or the Br and F atoms. It should be noted that it is difficult to award ECF marks in these questions so students need to avoid careless errors. Many struggled to give a complete explanation of the polarity of the two compounds as although the molecule was identified as being asymmetrical, few stated that the P–Br and S–F bonds are polar. Only a minority of students stated that a covalent bond was an attraction between nuclei and a pair of electrons and many were unable to identify the s-orbital from hydrogen and the \({\text{p/s}}{{\text{p}}^{\text{2}}}\) orbital from carbon as the overlapping orbitals in the covalent bond. The hybridisation of oxygen was generally well known as was sigma and pi bonding.
Most candidates knew about the relative conductivities of magnesium chloride and phosphorous trichloride and were able to relate it to bonding. The third mark was however more problematic as many continue to equate conductivity to mobile electrons rather than ions. The pH of solutions of aqueous chlorides was not generally well known with only a small number of candidates gaining full marks. An explanation of the acidity of magnesium in terms of the charge density of the \({\text{M}}{{\text{g}}^{2 + }}\) ion proved to be particularly challenging. One teacher commented that the reaction of \({\text{PC}}{{\text{l}}_{\text{3}}}\) and water is not mentioned in the guide but it is included in the teacher note to Assessment statement 13.1.1 of the current guide (although it is not in the new guide which will be assessed for the first time in May 2016). The acidity of the period 3 oxides was generally well known but many struggled to give balanced equations to describe the reactions of sodium and phosphorous(V) oxide with water, with many confusing the reaction of sodium oxide with that of sodium giving hydrogen as a product. Most candidates were able to give correct Lewis structure and shapes and bond angles but marks were lost, as in previous session due to missing lone pairs either on the central atoms or the Br and F atoms. It should be noted that it is difficult to award ECF marks in these questions so students need to avoid careless errors. Many struggled to give a complete explanation of the polarity of the two compounds as although the molecule was identified as being asymmetrical, few stated that the P–Br and S–F bonds are polar. Only a minority of students stated that a covalent bond was an attraction between nuclei and a pair of electrons and many were unable to identify the s-orbital from hydrogen and the \({\text{p/s}}{{\text{p}}^{\text{2}}}\) orbital from carbon as the overlapping orbitals in the covalent bond. The hybridisation of oxygen was generally well known as was sigma and pi bonding.
There is concern about damage done to the ozone layer in the stratosphere by jet-propelled aircraft.
Formulate two equations to show how nitrogen(II) oxide, NO, catalyses the destruction of ozone.
Suggest why the loss of ozone is an international environmental concern.
Markscheme
\({\text{NO}} \bullet {\text{(g)}} + {{\text{O}}_{\text{3}}}{\text{(g)}} \to {\text{N}}{{\text{O}}_{\text{2}}} \bullet {\text{(g)}} + {{\text{O}}_{\text{2}}}{\text{(g)}}\)
\({\text{N}}{{\text{O}}_{\text{2}}} \bullet {\text{(g)}} + {\text{O}} \bullet {\text{(g)}} \to {\text{NO}} \bullet {\text{(g)}} + {{\text{O}}_{\text{2}}}{\text{(g)}}\)
OR
\({\text{N}}{{\text{O}}_{\text{2}}} \bullet {\text{(g)}} + {{\text{O}}_{\text{3}}}{\text{(g)}} \to {\text{NO}} \bullet {\text{(g)}} + {\text{2}}{{\text{O}}_{\text{2}}}{\text{(g)}}\)
Allow representation of radicals without \( \bullet \) if consistent throughout.
[2 marks]
«loss of ozone» allows UV radiation to penetrate atmosphere/reach earth
UV radiation causes skin cancer
OR
UV radiation causes tissue damage
[2 marks]
Examiners report
Draw the Lewis structures, predict the shape and deduce the bond angles for xenon tetrafluoride and the nitrate ion.

Markscheme

Accept any combination of lines, dots or crosses to represent electron pairs.
Examiners report
Many candidates had difficulties with the Lewis structure of the nitrate ion, putting too many electrons around the nitrogen atom or omitting the negative charge. They did better with XeF4, giving correct shape and bond angles. Some candidates lost marks for omitting lone pairs from the F atoms, and some had only 4 negative charge centres around Xe. Some teachers expressed concern that only exceptions to rules were being examined, but both \({\text{NO}}_3^ - \) and \({\text{Xe}}{{\text{F}}_{\text{4}}}\) are listed as examples to use in the teacher‘s notes.
Calcium carbide, CaC2, is an ionic solid.
Describe the nature of ionic bonding.
Describe how the relative atomic mass of a sample of calcium could be determined from its mass spectrum.
When calcium compounds are introduced into a gas flame a red colour is seen; sodium compounds give a yellow flame. Outline the source of the colours and why they are different.
Suggest two reasons why solid calcium has a greater density than solid potassium.
Outline why solid calcium is a good conductor of electricity.
Sketch a graph of the first six ionization energies of calcium.
Calcium carbide reacts with water to form ethyne and calcium hydroxide.
CaC2(s) + H2O(l) → C2H2(g) + Ca(OH)2(aq)
Estimate the pH of the resultant solution.
Describe how sigma (σ) and pi (\(\pi \)) bonds are formed.
Deduce the number of σ and \(\pi \) bonds in a molecule of ethyne.
Markscheme
electrostatic attraction AND oppositely charged ions
[1 mark]
multiply relative intensity by «m/z» value of isotope
OR
find the frequency of each isotope
sum of the values of products/multiplication «from each isotope»
OR
find/calculate the weighted average
Award [1 max] for stating “m/z values of isotopes AND relative abundance/intensity” but not stating these need to be multiplied.
[2 marks]
«promoted» electrons fall back to lower energy level
energy difference between levels is different
Accept “Na and Ca have different nuclear charge” for M2.
[2 marks]
Any two of:
stronger metallic bonding
smaller ionic/atomic radius
two electrons per atom are delocalized
OR
greater ionic charge
greater atomic mass
Do not accept just “heavier” or “more massive” without reference to atomic mass.
[2 marks]
delocalized/mobile electrons «free to move»
[1 mark]

general increase
only one discontinuity between “IE2” and “IE3”
[2 marks]
pH > 7
Accept any specific pH value or range of values above 7 and below 14.
[1 mark]
sigma (σ):
overlap «of atomic orbitals» along the axial/internuclear axis
OR
head-on/end-to-end overlap «of atomic orbitals»
pi (\(\pi \)):
overlap «of p-orbitals» above and below the internuclear axis
OR
sideways overlap «of p-orbitals»
Award marks for suitable diagrams.
[2 marks]
sigma (σ): 3
AND
pi (\(\pi \)): 2
[1 mark]
Examiners report
SF2, SF4 and SF6 have different shapes. Draw their Lewis structures and use the VSEPR theory to predict the name of the shape of each molecule.

Markscheme

Penalise missing lone pairs on fluorine atoms once in correct structures only.
For Lewis structures candidates are not expected to draw exact shapes of molecules.
Do not allow ECF for wrong Lewis structures.
Accept dots or crosses instead of lines.
Examiners report
This question was generally well answered and many high scores were seen. Common errors included the omission of non-bonding pairs of electrons on fluorine atoms and sometimes on sulfur. The shape of SF4 was not well known but candidates were able to write correctly the name of the shape for SF2 and SF6.
Hydrazine, N2H4, is a valuable rocket fuel.
The equation for the reaction between hydrazine and oxygen is given below.
\[{{\text{N}}_2}{{\text{H}}_4}({\text{l)}} + {{\text{O}}_2}({\text{g)}} \to {{\text{N}}_2}({\text{g)}} + 2{{\text{H}}_2}{\text{O(l)}}\]
The reaction between \({{\text{N}}_2}{{\text{H}}_4}({\text{aq)}}\) and \({\text{HCl(aq)}}\) can be represented by the following equation.
\[{{\text{N}}_2}{{\text{H}}_4}({\text{aq)}} + 2{\text{HCl(aq)}} \to {{\text{N}}_2}{\text{H}}_6^{2 + }({\text{aq)}} + 2{\text{C}}{{\text{l}}^ - }({\text{aq)}}\]
(i) Draw the Lewis (electron dot) structure for N2H4 showing all valence electrons.
(ii) State and explain the H–N–H bond angle in hydrazine.
Hydrazine and ethene, C2H4, are hydrides of adjacent elements in the periodic table. The boiling point of hydrazine is much higher than that of ethene. Explain this difference in terms of the intermolecular forces in each compound.
(i) The enthalpy change of formation, \(\Delta H_{\text{f}}^\Theta \), of liquid hydrazine is \({\text{50.6 kJ}}\,{\text{mo}}{{\text{l}}^{ - 1}}\). Use this value, together with data from Table 12 of the Data Booklet, to calculate the enthalpy change for this reaction.
(ii) Use the bond enthalpy values from Table 10 of the Data Booklet to determine the enthalpy change for this reaction.
(iii) Identify the calculation that produces the most accurate value for the enthalpy change for the reaction given and explain your choice.
(iv) Calculate \(\Delta {S^\Theta }\) for the reaction using the data below and comment on its magnitude.

(v) Calculate \(\Delta {G^\Theta }\) for the reaction at 298 K.
(vi) Predict, giving a reason, the spontaneity of the reaction above at both high and low temperatures.
The reaction between \({{\text{N}}_{\text{2}}}{{\text{H}}_{\text{4}}}{\text{(aq)}}\) and HCl(aq) can be represented by the following equation.
\[{{\text{N}}_2}{{\text{H}}_4}({\text{aq)}} + 2{\text{HCl(aq)}} \to {{\text{N}}_2}{\text{H}}_6^{2 + }({\text{aq)}} + 2{\text{C}}{{\text{l}}^ - }({\text{aq)}}\]
(i) Identify the type of reaction that occurs.
(ii) Predict the value of the H–N–H bond angle in \({{\text{N}}_{\text{2}}}{\text{H}}_{\text{6}}^{{\text{2}} + }\).
(iii) Suggest the type of hybridization shown by the nitrogen atoms in \({{\text{N}}_{\text{2}}}{\text{H}}_{\text{6}}^{{\text{2}} + }\).
Markscheme
(i)
;
Accept x’s, dots or lines for electron pairs
(ii) H–N–H \( < \) 109 / any angle between 104° and 109°;
due to four centres of electron charge / four electron pairs (one of which is a lone \({{\text{e}}^ - }\) pair);
extra repulsion due to lone electron pairs;
Do not allow ECF for wrong Lewis structures.
weaker van der Waals’/London/dispersion/intermolecular forces in ethene;
stronger (intermolecular) hydrogen bonding in hydrazine;
If no comparison between strengths then [1 max].
(i) \(\Delta H_{\text{r}}^\Theta = \Sigma \Delta H_{\text{f}}^\Theta {\text{ products}} - \Sigma \Delta H_{\text{f}}^\Theta {\text{ reactants}}\);
Can be implied by working.
\(\Delta H_{\text{f}}^\Theta {\text{(}}{{\text{H}}_2}{\text{O(l))}} = - 286{\text{ (kJ)}}\);
\(\Delta H_{\text{r}}^\Theta = 2( - 286) - 50.6 = - 622.6{\text{ (kJ)}}\);
(ii) bonds broken: 4N–H, N–N, O=O / \( + {\text{2220 (kJ}}\,{\text{mo}}{{\text{l}}^{ - 1}}{\text{)}}\);
bonds formed: N\(\equiv\)N, 4O-H / \( - 2801{\text{ (kJ}}\,{\text{mo}}{{\text{l}}^{ - 1}}{\text{)}}\);
\( - 581{\text{ (kJ}}\,{\text{mo}}{{\text{l}}^{ - 1}}{\text{)}}\);
Award [3] for correct final answer.
(iii) value based on \(\Delta {H_{\text{f}}}\) more accurate;
\(\Delta {H_{\text{f}}}\) accurate for compounds in reaction;
bond energy calculation assumes average bond energies;
(bond energy calculation) only applies to gaseous states / ignores intermolecular bonds;
(iv) \(\Delta {S^\Theta } = \Sigma {S^\Theta }{\text{ (products)}} - \Sigma {S^\Theta }{\text{ (reactants)}}\);
Can be implied by working.
\( = 191 + (2 \times 69.9) - 205 - 121 = + 4.8{\text{ (J}}\,{{\text{K}}^{ - 1}}{\text{mo}}{{\text{l}}^{ - 1}}{\text{)}}\);
small value since number of mol of g on both sides the same;
(v) \(\Delta {G^\Theta } = - 622.6 - 298(0.0048)\);
\( = - 624.0{\text{ (kJ}}\,{\text{mo}}{{\text{l}}^{ - 1}}{\text{)}}\);
Allow 623.9 to 624.1.
(vi) all reactions are spontaneous;
\(\Delta G\) is negative (at high temperatures and low temperatures);
(i) acid-base/neutralization;
(ii) 109°/109.5°;
(iii) sp3;
No ECF if bond angle incorrect in (ii).
Examiners report
The Lewis structure for hydrazine proved to be difficult for some in (a). Incorrect answers had double bonds appearing between the two nitrogen atoms or lone pairs missing. Those who could draw the correct structure in (i) gave the correct bond angle, but the explanation was often incomplete. Few mentioned either the four electron domains around the central atom or the extra repulsion of the lone pair.
In part (b) most candidates knew that hydrogen bonding was present in hydrazine and Van der Waals‟ forces in ethene but failed to give a comparison of the relative strength of the intermolecular forces.
Some candidates struggled to calculate the enthalpy changes from enthalpy changes of formation in (c) (i) as they were unable to relate the enthalpy change of combustion of hydrogen to the enthalpy change of formation of water.
The bond energy and entropy calculations were more successful with many candidates benefitting from ECF from their incorrect Lewis structures in (a). It was encouraging to see many correct unit conversions for the calculation of \(\Delta G\). A number of candidates incorrectly described the combination of hydrazine and hydrochloric acid as a redox reaction, but many were able to identify the bond angle and hybridization in \({{\text{N}}_{\text{2}}}{\text{H}}_{\text{6}}^{{\text{2}} + }\).
Consider the structure and bonding in \({\text{MgC}}{{\text{l}}_{\text{2}}}\) and \({\text{PC}}{{\text{l}}_{\text{5}}}\).
For each of the species \({\text{PB}}{{\text{r}}_{\text{3}}}\) and \({\text{S}}{{\text{F}}_{\text{6}}}\):
State and explain the difference in the electrical conductivity in the liquid state of the two chlorides.
(i) deduce the Lewis structure.
(ii) predict the shape and bond angle.
(iii) predict and explain the molecular polarity.

Compare the formation of sigma (\(\sigma \)) and pi (\(\pi \)) bonds between the carbon atoms in a molecule of ethyne.
Markscheme
\({\text{MgC}}{{\text{l}}_2}\) conducts and \({\text{PC}}{{\text{l}}_5}\) does not;
\({\text{MgC}}{{\text{l}}_2}\) ionic and \({\text{PC}}{{\text{l}}_5}\) covalent/molecular/(consists of) molecules;
Award [1 max] for MgCl2 conducts and ionic.
Award [1 max] for PCl5 does not conduct and covalent/molecular/(consists of molecules).
ions can move in liquid (in \({\text{MgC}}{{\text{l}}_2}\)) / OWTTE;

Do not allow ECF in this question from incorrect Lewis structure.
Allow [1 max] for stating that PBr3 is polar and SF6 is non-polar without giving a reason or if explanations are incorrect.
Allow polar bonds do not cancel for PBr3 and polar bonds cancel for SF6.
Do not allow asymmetric molecule as reason for PBr3 or symmetric molecule for SF6 as reason alone.
\(\sigma \) bond:
end-on/axial overlap with electron density between the two carbon atoms/nuclei / end-on/axial overlap of orbitals so shared electrons are between atoms / OWTTE;
\(\pi \) bond:
sideways/parallel overlap of p orbitals with electron density above and below internuclear axis/\(\sigma \) bond / sideways/parallel overlap of p orbitals so shared electrons are above and below internuclear axis/\(\sigma \) bond / OWTTE;
Marks can be scored from a suitable diagram.
Award [1 max] for stating end-on/axial overlap for \(\sigma \) and sideways/parallel overlap for \(\pi \) only i.e. without mentioning electron density OR stating electron density between the two atoms/nuclei for \(\sigma \) and above and below internuclear axis for \(\pi \).

Examiners report
This was usually well answered.
The Lewis structures were usually well drawn but some omitted the lone pairs. The shapes were also usually correct, though some stated that the shape of \({\text{PB}}{{\text{r}}_{\text{3}}}\) is tetrahedral which is incorrect. The electron domain geometry of \({\text{PB}}{{\text{r}}_{\text{3}}}\) is tetrahedral as there are four negative charge centres or four electron domains, but the molecular geometry and hence the shape is trigonal/triangular pyramidal. It is worth emphasising this difference between electron domain geometry and molecular geometry in discussions of shape in VSEPR Theory. As regards the bond angles, a few forgot the fact that the lone pair on the P occupies more space and hence the angle drops below 109.5 degrees. Many simply wrote 107 degrees, which is the bond angle in ammonia. An important point to make here is that every trigonal pyramidal geometry does not have a bond angle equivalent to that of ammonia, 107 degrees, which is a point often misunderstood by candidates. In fact, many factors can come into play here including lone pairs and electronegativity considerations. In fact, the experimental bond angle for \({\text{PB}}{{\text{r}}_{\text{3}}}\) is 101 degrees and candidates would have scored the mark if they gave any value in the range 100 to less than 109.5 degrees. Candidates are not required to know experimental values but should not make sweeping conclusions that all trigonal pyramidal geometries have 107 degree bond angles, which certainly is not the case. For \({\text{S}}{{\text{F}}_{\text{6}}}\), 90 and 120 bond angles were often incorrectly given. The most disappointing part of this sub-section however was the poor explanations of polarity. Some of the top candidates did however give complete explanations and referred to the polar PBr bonds and the fact that as the molecule is not symmetrical there is an asymmetric distribution of the electron cloud. It was nice to see vectorial addition of bond dipoles supporting this type of explanation resulting in a clearly defined and drawn net dipole moment in the case of \({\text{PB}}{{\text{r}}_{\text{3}}}\) leading to its polar nature and similar arguments and drawings in the case of the non-polar of \({\text{S}}{{\text{F}}_{\text{6}}}\).
Very few candidates scored both marks on sigma and pi bonds.
Geometrical isomerism and optical isomerism are two sub-groups of stereoisomerism in organic chemistry.
Compound P has the following three-dimensional structure. P also has geometrical isomers.

Menthol can be used in cough medicines. The compound contains C, H and O only.
Describe what is meant by the term stereoisomers.
Geometrical isomers have different physical properties and many drugs, such as doxepin (which has antidepressant properties), have geometrical isomers.

For each of the carbon atoms labelled 1 and 2 in doxepin, deduce the type of hybridization involved (sp, sp2 or sp3).
1:
2:
Clomifene, a fertility drug, whose three-dimensional structure is represented below, also has geometrical isomers.

Identify the name of one functional group present in clomifene.
Draw any two other isomers of P.
Apply IUPAC rules to state the names of all the straight-chain isomers of compounds of molecular formula C4H8 (including P).
State the structural formula of the organic products, Q, R, S and T, formed in the following reactions.

Suggest one suitable mechanism for the reaction of Q with aqueous sodium hydroxide to form T, using curly arrows to represent the movement of electron pairs.
State the structural formula of the organic product formed, U, when R is heated under reflux with acidified potassium dichromate(VI).
Apply IUPAC rules to state the name of this product, U.
When a \(6.234 \times {10^{ - 2}}{\text{ g}}\) of the compound was combusted, \(1.755 \times {10^{ - 1}}{\text{ g}}\) of carbon dioxide and \(7.187 \times {10^{ - 2}}{\text{ g}}\) of water were produced. Determine the molecular formula of the compound showing your working, given that its molar mass is \(M = 156.30{\text{ g}}\,{\text{mo}}{{\text{l}}^{ - 1}}\).
Menthol occurs naturally and has several isomers. State the structural feature of menthol which is responsible for it having enantiomers.
State the instrument used to distinguish between each of the two enantiomers, and how they could be distinguished using this instrument.
Compare the physical and chemical properties of enantiomers.
Physical properties:
Chemical properties:
Markscheme
compounds with same structural formula but different arrangements of atoms in space;
Award [1] if correct description of geometric and optical isomers given.
1: sp2 and 2: sp3;
amine;
benzene ring;
Allow phenyl (group).
Do not allow just benzene.
alkene / chloroalkene;
chloro;
ether / phenyl ether;
Ethers not required as per guide but allow if given.

trans-but-2-ene and cis-but-2-ene;
Allow trans 2-butene and cis 2-butene.
Do not accept just 2-butene or 2-butene.
but-1-ene;
Allow 1-butene.
Q: \({\text{C}}{{\text{H}}_3}{\text{CHBrC}}{{\text{H}}_2}{\text{C}}{{\text{H}}_3}\);
R: \({\text{C}}{{\text{H}}_3}{\text{CH(OH)C}}{{\text{H}}_2}{\text{C}}{{\text{H}}_3}\);
S: \({\text{C}}{{\text{H}}_3}{\text{CHBrCHBrC}}{{\text{H}}_3}\);
T: \({\text{C}}{{\text{H}}_3}{\text{CH(OH)C}}{{\text{H}}_2}{\text{C}}{{\text{H}}_3}\);
Condensed or full structural formulas may be given.
Since secondary bromoalkane could be either SN1 and SN2 so allow SN1 or SN2 for M1 –M4.
SN1:

curly arrow showing Br leaving;
Do not allow arrow originating from C to C–Br bond.
representation of secondary carbocation;
curly arrow going from lone pair/negative charge on O in \({\text{H}}{{\text{O}}^ - }\) to \({{\text{C}}^ + }\);
Do not allow arrow originating on H in OH–.
formation of \({\text{C}}{{\text{H}}_3}{\text{CH(OH)C}}{{\text{H}}_2}{\text{C}}{{\text{H}}_3}\) and \({\text{B}}{{\text{r}}^ - }\);
Allow formation of NaBr instead of Br–.
OR
SN2:
curly arrow going from lone pair/negative charge on O in \({\text{H}}{{\text{O}}^ - }\) to C;
Do not allow curly arrow originating on H in OH–.
curly arrow showing Br leaving;
Accept curly arrow either going from bond between C and Br to Br in 2-bromobutane or in the transition state.
Do not allow arrow originating from C to C–Br bond.
representation of transition state showing negative charge, square brackets and partial bonds;
Do not penalize if HO and Br are not at 180° to each other.
Do not award M3 if OH—C bond is represented.
formation of \({\text{C}}{{\text{H}}_3}{\text{CH(OH)C}}{{\text{H}}_2}{\text{C}}{{\text{H}}_3}\) and \({\text{B}}{{\text{r}}^ - }\);
Allow formation of NaBr instead of Br–.
\({{\text{H}}_3}{\text{CCOC}}{{\text{H}}_2}{\text{C}}{{\text{H}}_3}\);
Condensed or full structural formula may be given.
butan-2-one;
Allow 2-butanone or butanone.
Accept butan-2-one if (v) is incorrect but also apply ECF.
\({m_{\text{C}}}:(1.755 \times {10^{ - 1}} \times 12.01)/(44.01) = 4.790 \times {10^{ - 2}}{\text{ g}}\) and
\({m_{\text{H}}}:(7.187 \times {10^{ - 2}} \times 2 \times 1.01)/(18.02) = 8.056 \times {10^{ - 3}}{\text{ g}}\);
\({m_{\text{O}}}:(6.234 \times {10^{ - 2}} - 8.056 \times {10^{ - 3}} - 4.790 \times {10^{ - 2}}) = 6.384 \times {10^{ - 3}}{\text{ g}}\);
\(({n_{\text{C}}} = 3.988 \times {10^{ - 3}}\) and \({n_{\text{H}}} = 2 \times 3.988 \times {10^{ - 3}}\) and \({n_{\text{O}}} = 3.988 \times {10^{ - 3}}\) hence empirical formula \( = {\text{) }}{{\text{C}}_{10}}{{\text{H}}_{20}}{\text{O}}\);
\(\left( {M{\text{(}}{{\text{C}}_{10}}{{\text{H}}_{20}}{\text{O)}} = 156.30{\text{ (g}}\,{\text{mo}}{{\text{l}}^{ - 1}}{\text{), therefore molecular formula}} = } \right){\text{ }}{{\text{C}}_{10}}{{\text{H}}_{20}}{\text{O}}\);
OR
\({n_{{\text{C}}{{\text{O}}_2}}} = \left( {\frac{{1.755 \times {{10}^{ - 1}}}}{{44.01}}} \right) = 3.988 \times {10^{ - 3}}\) and \({n_{{{\text{H}}_2}{\text{O}}}} = \left( {\frac{{7.187 \times {{10}^{ - 1}}}}{{18.02}}} \right) = 3.988 \times {10^{ - 3}}\);
\({m_{\text{O}}}:(6.234 \times {10^{ - 2}} - 8.056 \times {10^{ - 3}} - 4.790 \times {10^{ - 2}}) = 6.384 \times {10^{ - 3}}{\text{ g}}\);
\(({n_{\text{C}}} = 3.988 \times {10^{ - 3}}\) and \({n_{\text{H}}} = 2 \times 3.988 \times {10^{ - 3}}\) and \({n_{\text{O}}} = 3.988 \times {10^{ - 3}}\) hence empirical formula \( = {\text{) }}{{\text{C}}_{{\text{10}}}}{{\text{H}}_{20}}{\text{O}}\);
\(\left( {M{\text{(}}{{\text{C}}_{10}}{{\text{H}}_{20}}{\text{O)}} = 156.30{\text{ (g}}\,{\text{mo}}{{\text{l}}^{ - 1}}{\text{), therefore molecular formula }} = } \right){\text{ }}{{\text{C}}_{10}}{{\text{H}}_{20}}{\text{O}}\);
Allow alternative working to be used.
Award [3 max] for C10H20O if no working shown.
chiral (carbon/centre/atom) / (tetrahedral) carbon surrounded by four
different groups;
Accept chiral compound or chiral molecule.
polarimeter and (enantiomers) rotate plane of polarized light in (equal and) opposite directions;
Physical properties:
identical except for rotation of plane polarized light;
Accept “identical” as different optical properties assessed in (iii).
Do not accept similar.
Chemical properties:
identical unless they interact with other optically active/chiral compounds/reagents/solvents / identical with achiral compounds/reagents/solvents / OWTTE;
Allow different physiological effects/taste.
Examiners report
A reasonably popular question and often well done. In (a), some weaker candidates did not understand the idea of a stereoisomer.
(b) and (c) were well done.
(b) and (c) were well done.
In (d), most scored full marks though some gave cis.
In (d), most scored full marks though some gave cis. In (ii), many did not gain marks for but-2-ene.
In (d), most scored full marks though some gave cis.
In (d), most scored full marks though some gave cis.
In (d), most scored full marks though some gave cis.
In (d), most scored full marks though some gave cis.
(e) (i) also was very well answered compared to some recent sessions.
Perhaps too much was expected in (iii) for one mark and students either omitted polarimeter or did not refer to plane polarised light.
In (iv), few scored both marks.
But-2-ene is a straight-chain alkene with formula \({{\text{C}}_{\text{4}}}{{\text{H}}_{\text{8}}}\). The molecule contains both \(\sigma \) and \(\pi \) bonds.

The polymerization of the alkenes is one of the most significant reactions of the twentieth century.
(i) Explain the formation of the \(\pi \) bond.
(ii) For each of the carbon atoms, C(1) and C(2), identify the type of hybridization shown.
C(1):
C(2):
But-2-ene shows geometrical isomerism. Draw the structural formula and state the name of the other geometrical isomer.
Identify the structural formula of an isomer of but-2-ene which does not decolourize bromine water, Br2(aq).
(i) Outline two reasons why the polymers of the alkenes are of economic importance.
(ii) State the type of polymerization reaction shown by the alkene in part (a).
(iii) Deduce the structure of the resulting polymer showing three repeating units.
(iv) Explain why monomers are often gases or volatile liquids, but polymers are solids.
Markscheme
(i) (bond formed by) sideways overlap;
(of) p orbitals;
Marks awarded either from sketch or from explanation.
(ii) C(l) is sp3 and C(2) is sp2;
;
cis but-2-ene/Z-but-2-ene;
;
(i) synthesis of materials not naturally available/plastics;
chemically unreactive materials produced;
wide range of uses/physical properties / versatile;
cheap;
large industry;
uses a limited natural resource;
Award [2] for any two.
(ii) addition;
(iii)
;
Must show continuation bonds.
Ignore bracket around the 6 carbons.
Must have 6 carbons joined to each other along chain.
(iv) monomers are smaller molecules / have smaller surface area than polymers;
Accept monomers have lower molecular mass.
with weaker intermolecular/Van der Waals’/London/dispersion forces;
Accept opposite argument for polymers.
Examiners report
This question was generally well answered and many high scores were seen. Most candidates were able to explain the formation of \(\pi \) bonds in (a) and identify the type of hybridization present.
Many candidates drew structures which were not geometric isomers in (b) with but-1-ene a common incorrect answer.
In (c) only the best candidates were able to identify a cycloalkane as a saturated isomer and it was fairly common to find structures that included double bonds despite the guidance in the question.
The economic importance of addition polymers was well known in (d) with most candidates stating that they were plastics with versatile properties and low cost.
Addition polymerisation was well recalled but a large number of candidates made mistakes with the structure of the polymer. Continuation bonds, for example, were often missing from the ends. Many understood in terms of molecular size, why polymers have higher boiling points than monomers but not all correctly attributed it to the stronger van der Waals forces between the molecules.
Calcium nitrate contains both covalent and ionic bonds.
Nitrogen also forms oxides, which are atmospheric pollutants.
State the formula of both ions present and the nature of the force between these ions.
Ions:
Nature of force:
State which atoms are covalently bonded.
Bonding in the nitrate ion involves electron delocalization. Explain the meaning of electron delocalization and how it affects the ion.
Outline the source of these oxides.
State one product formed from their reaction with water.
State one environmental problem caused by these atmospheric pollutants.
Markscheme
\({\text{C}}{{\text{a}}^{2 + }}\) and \({\text{NO}}_3^ - \);
electrostatic (attraction);
Do not accept ionic.
nitrogen/N and oxygen/O;
Do not accept nitrate/NO3–.
Accept atoms in nitrate/NO3–
pi/\(\underline \pi \)-electrons shared by more than two atoms/nuclei / a pi/\(\underline \pi \)-bond/overlapping p-orbitals that extends over more than two atoms/nuclei;
all (N–O) bonds equal length/strength/bond-order / charge on all oxygen/O atoms equal / increases stability/lowers PE (of the ion);
Accept a diagram that clearly shows one or both points.
produced by high temperature combustion;
Accept combustion/jet/car engines / car exhaust/emissions / lightning / action of bacteria/microorganisms.
Do not accept combustion/burning, cars, planes, jets, factories, power plants etc.
nitric acid/\({\text{HN}}{{\text{O}}_{\text{3}}}\) / nitrous acid/nitric(III) acid/\({\text{HN}}{{\text{O}}_{\text{2}}}\);
Accept “form acidic solutions / acid rain”.
acid deposition/rain / respiratory problems / corrosion problems / decomposition of ozone layer / photochemical smog / acidification/pollution of lakes / damage to plants/ trees;
Accept “acid rain” in either part (ii) or part (iii) but not both.
Do not accept air pollution.
Examiners report
It was distressing how many students taking HL Chemistry (over 50%?) do not know the formula of the nitrate ion! Many students also gave the type of bonding present between the ions, rather than the nature of the force asked for, though almost all could correctly identify the covalently bonded atoms. Hardly any could explain delocalization in terms of the overlap of p-orbitals, or the extension of a \(\pi \)-bond, over more than two atoms, though its effect on structure and stability were better known. In part (c), which tested Aim 8 of the syllabus, most managed to gain some of the marks available for atmospheric pollution from oxides of nitrogen. Inevitably, owing to some overlap in assessment statements these concepts would be more familiar to those studying the Environmental Chemistry option, but undoubtedly studying other options assists in other areas, such as organic chemistry.
It was distressing how many students taking HL Chemistry (over 50%?) do not know the formula of the nitrate ion! Many students also gave the type of bonding present between the ions, rather than the nature of the force asked for, though almost all could correctly identify the covalently bonded atoms. Hardly any could explain delocalization in terms of the overlap of p-orbitals, or the extension of a \(\pi \)-bond, over more than two atoms, though its effect on structure and stability were better known. In part (c), which tested Aim 8 of the syllabus, most managed to gain some of the marks available for atmospheric pollution from oxides of nitrogen. Inevitably, owing to some overlap in assessment statements these concepts would be more familiar to those studying the Environmental Chemistry option, but undoubtedly studying other options assists in other areas, such as organic chemistry.
It was distressing how many students taking HL Chemistry (over 50%?) do not know the formula of the nitrate ion! Many students also gave the type of bonding present between the ions, rather than the nature of the force asked for, though almost all could correctly identify the covalently bonded atoms. Hardly any could explain delocalization in terms of the overlap of p-orbitals, or the extension of a \(\pi \)-bond, over more than two atoms, though its effect on structure and stability were better known. In part (c), which tested Aim 8 of the syllabus, most managed to gain some of the marks available for atmospheric pollution from oxides of nitrogen. Inevitably, owing to some overlap in assessment statements these concepts would be more familiar to those studying the Environmental Chemistry option, but undoubtedly studying other options assists in other areas, such as organic chemistry.
It was distressing how many students taking HL Chemistry (over 50%?) do not know the formula of the nitrate ion! Many students also gave the type of bonding present between the ions, rather than the nature of the force asked for, though almost all could correctly identify the covalently bonded atoms. Hardly any could explain delocalization in terms of the overlap of p-orbitals, or the extension of a \(\pi \)-bond, over more than two atoms, though its effect on structure and stability were better known. In part (c), which tested Aim 8 of the syllabus, most managed to gain some of the marks available for atmospheric pollution from oxides of nitrogen. Inevitably, owing to some overlap in assessment statements these concepts would be more familiar to those studying the Environmental Chemistry option, but undoubtedly studying other options assists in other areas, such as organic chemistry.
It was distressing how many students taking HL Chemistry (over 50%?) do not know the formula of the nitrate ion! Many students also gave the type of bonding present between the ions, rather than the nature of the force asked for, though almost all could correctly identify the covalently bonded atoms. Hardly any could explain delocalization in terms of the overlap of p-orbitals, or the extension of a \(\pi \)-bond, over more than two atoms, though its effect on structure and stability were better known. In part (c), which tested Aim 8 of the syllabus, most managed to gain some of the marks available for atmospheric pollution from oxides of nitrogen. Inevitably, owing to some overlap in assessment statements these concepts would be more familiar to those studying the Environmental Chemistry option, but undoubtedly studying other options assists in other areas, such as organic chemistry.
It was distressing how many students taking HL Chemistry (over 50%?) do not know the formula of the nitrate ion! Many students also gave the type of bonding present between the ions, rather than the nature of the force asked for, though almost all could correctly identify the covalently bonded atoms. Hardly any could explain delocalization in terms of the overlap of p-orbitals, or the extension of a \(\pi \)-bond, over more than two atoms, though its effect on structure and stability were better known. In part (c), which tested Aim 8 of the syllabus, most managed to gain some of the marks available for atmospheric pollution from oxides of nitrogen. Inevitably, owing to some overlap in assessment statements these concepts would be more familiar to those studying the Environmental Chemistry option, but undoubtedly studying other options assists in other areas, such as organic chemistry.
Ethanedioic acid is a diprotic acid. A student determined the value of x in the formula of hydrated ethanedioic acid, \({\text{HOOC–COOH}} \bullet {\text{x}}{{\text{H}}_{\text{2}}}{\text{O}}\), by titrating a known mass of the acid with a 0.100 \({\text{mol}}\,{\text{d}}{{\text{m}}^{ - 3}}\) solution of NaOH(aq).
0.795 g of ethanedioic acid was dissolved in distilled water and made up to a total volume of 250 cm3 in a volumetric flask.
\({\text{25 c}}{{\text{m}}^{\text{3}}}\) of this ethanedioic acid solution was pipetted into a flask and titrated against aqueous sodium hydroxide using phenolphthalein as an indicator.
The titration was then repeated twice to obtain the results below.

Calculate the average volume of NaOH added, in \({\text{c}}{{\text{m}}^{\text{3}}}\), in titrations 2 and 3, and then calculate the amount, in mol, of NaOH added.
The equation for the reaction taking place in the titration is:
\({\text{HOOC–COOH(aq)}} + {\text{2NaOH(aq)}} \to {\text{NaOOC–COONa(aq)}} + {\text{2}}{{\text{H}}_{\text{2}}}{\text{O(l)}}\)
Determine the amount, in mol, of ethanedioic acid that reacts with the average
volume of NaOH(aq).
Determine the amount, in mol, of ethanedioic acid present in \({\text{250 c}}{{\text{m}}^{\text{3}}}\) of the original solution.
Determine the molar mass of hydrated ethanedioic acid.
Determine the value of x in the formula \({\text{HOOC–COOH}} \bullet {\text{x}}{{\text{H}}_{\text{2}}}{\text{O}}\).
Identify the strongest intermolecular force in solid ethanedioic acid.
Deduce the Lewis (electron dot) structure of ethanedioic acid, \({\text{HOOC–COOH}}\).
Predict and explain the difference in carbon-oxygen bond lengths in ethanedioic acid and its conjugate base, \(^ - {\text{OOC–CO}}{{\text{O}}^ - }\).
Markscheme
\(\left( {\frac{{(12.70 + 12.50}}{2} = } \right)12.60{\text{ (c}}{{\text{m}}^3}{\text{);}}\)
\((0.01260 \times 0.100 = )1.26 \times {10^{ - 3}}{\text{ (mol);}}\)
Award [2] for correct final answer.
\(\left( {\frac{{1.26 \times {{10}^{ - 3}}}}{2} = } \right)6.30 \times {10^{ - 4}}{\text{ (mol);}}\)
\((6.30 \times {10^{ - 4}} \times 10 = )6.30 \times {10^{ - 3}}{\text{ (mol);}}\)
\(\left( {\frac{{0.795}}{{6.30 \times {{10}^{ - 3}}}} = } \right)126{\text{ (gmo}}{{\text{l}}^{ - 1}}{\text{);}}\)
\({M_{\text{r}}}{\text{(}}{{\text{C}}_2}{{\text{H}}_2}{{\text{O}}_4}{\text{)}} = 90.04\) and \({M_{\text{r}}}{\text{(}}{{\text{H}}_2}{\text{O)}} = 18.02\);
Accept integer values for \({M_r}\)’s of 90 and 18 and any reasonable calculation.
Award [1 max] if no working shown.
hydrogen bonding;
1;
Mark cannot be scored if lone pairs are missing on oxygens.
Accept any combination of lines, dots or crosses to represent electron pairs.
Acid:
one double and one single bond / one shorter and one longer bond;
Accept “two double and two single”.
Conjugate base:
two 1.5 bonds / both bonds same length;
Accept “four / all”.
electrons delocalized / resonance forms;
Award marks for suitable diagrams.
Examiners report
It was suggested that, in the second paragraph, we should have explicitly stated that “0.795 g of hydrated ethanedioic acid was dissolved…” We agree that this would have clarified even more the question but we believe the sense is clear from the actual question for any student with practical experience. Another teacher suggested that the question was too easy. This was not apparent in the answers seen with very few candidates getting all the way to the end without mishap.
Most had little problem with (a) but some averaged all three readings. In (b) candidates found the calculation at the beginning of the paper difficult and many gave up too early in the sequence. “Error carried forward” marks were available even if an error was made early on. In (c), most were able to identify hydrogen bonding successfully. The diagrams of the Lewis structure of ethanedioic in (d) acid were, in general, poor; the most common error was to omit the lone pairs on the O of \({\text{–O–H}}\). Very few candidates were able to give a good explanation of electron delocalization and the differences in bond lengths in ethanedioic acid and the ethanedioate ion. As one respondent suggested, candidates would have benefitted from drawing out the Lewis structure of \({\text{–OOC–CO}}{{\text{O}}^ - }\). We did not ask for this but there was nothing preventing them from doing so.
It was suggested that, in the second paragraph, we should have explicitly stated that “0.795 g of hydrated ethanedioic acid was dissolved…” We agree that this would have clarified even more the question but we believe the sense is clear from the actual question for any student with practical experience. Another teacher suggested that the question was too easy. This was not apparent in the answers seen with very few candidates getting all the way to the end without mishap.
Most had little problem with (a) but some averaged all three readings. In (b) candidates found the calculation at the beginning of the paper difficult and many gave up too early in the sequence. “Error carried forward” marks were available even if an error was made early on. In (c), most were able to identify hydrogen bonding successfully. The diagrams of the Lewis structure of ethanedioic in (d) acid were, in general, poor; the most common error was to omit the lone pairs on the O of \({\text{–O–H}}\). Very few candidates were able to give a good explanation of electron delocalization and the differences in bond lengths in ethanedioic acid and the ethanedioate ion. As one respondent suggested, candidates would have benefitted from drawing out the Lewis structure of \({\text{–OOC–CO}}{{\text{O}}^ - }\). We did not ask for this but there was nothing preventing them from doing so.
It was suggested that, in the second paragraph, we should have explicitly stated that “0.795 g of hydrated ethanedioic acid was dissolved…” We agree that this would have clarified even more the question but we believe the sense is clear from the actual question for any student with practical experience. Another teacher suggested that the question was too easy. This was not apparent in the answers seen with very few candidates getting all the way to the end without mishap.
Most had little problem with (a) but some averaged all three readings. In (b) candidates found the calculation at the beginning of the paper difficult and many gave up too early in the sequence. “Error carried forward” marks were available even if an error was made early on. In (c), most were able to identify hydrogen bonding successfully. The diagrams of the Lewis structure of ethanedioic in (d) acid were, in general, poor; the most common error was to omit the lone pairs on the O of \({\text{–O–H}}\). Very few candidates were able to give a good explanation of electron delocalization and the differences in bond lengths in ethanedioic acid and the ethanedioate ion. As one respondent suggested, candidates would have benefitted from drawing out the Lewis structure of \({\text{–OOC–CO}}{{\text{O}}^ - }\). We did not ask for this but there was nothing preventing them from doing so.
It was suggested that, in the second paragraph, we should have explicitly stated that “0.795 g of hydrated ethanedioic acid was dissolved…” We agree that this would have clarified even more the question but we believe the sense is clear from the actual question for any student with practical experience. Another teacher suggested that the question was too easy. This was not apparent in the answers seen with very few candidates getting all the way to the end without mishap.
Most had little problem with (a) but some averaged all three readings. In (b) candidates found the calculation at the beginning of the paper difficult and many gave up too early in the sequence. “Error carried forward” marks were available even if an error was made early on. In (c), most were able to identify hydrogen bonding successfully. The diagrams of the Lewis structure of ethanedioic in (d) acid were, in general, poor; the most common error was to omit the lone pairs on the O of \({\text{–O–H}}\). Very few candidates were able to give a good explanation of electron delocalization and the differences in bond lengths in ethanedioic acid and the ethanedioate ion. As one respondent suggested, candidates would have benefitted from drawing out the Lewis structure of \({\text{–OOC–CO}}{{\text{O}}^ - }\). We did not ask for this but there was nothing preventing them from doing so.
It was suggested that, in the second paragraph, we should have explicitly stated that “0.795 g of hydrated ethanedioic acid was dissolved…” We agree that this would have clarified even more the question but we believe the sense is clear from the actual question for any student with practical experience. Another teacher suggested that the question was too easy. This was not apparent in the answers seen with very few candidates getting all the way to the end without mishap.
Most had little problem with (a) but some averaged all three readings. In (b) candidates found the calculation at the beginning of the paper difficult and many gave up too early in the sequence. “Error carried forward” marks were available even if an error was made early on. In (c), most were able to identify hydrogen bonding successfully. The diagrams of the Lewis structure of ethanedioic in (d) acid were, in general, poor; the most common error was to omit the lone pairs on the O of \({\text{–O–H}}\). Very few candidates were able to give a good explanation of electron delocalization and the differences in bond lengths in ethanedioic acid and the ethanedioate ion. As one respondent suggested, candidates would have benefitted from drawing out the Lewis structure of \({\text{–OOC–CO}}{{\text{O}}^ - }\). We did not ask for this but there was nothing preventing them from doing so.
It was suggested that, in the second paragraph, we should have explicitly stated that “0.795 g of hydrated ethanedioic acid was dissolved…” We agree that this would have clarified even more the question but we believe the sense is clear from the actual question for any student with practical experience. Another teacher suggested that the question was too easy. This was not apparent in the answers seen with very few candidates getting all the way to the end without mishap.
Most had little problem with (a) but some averaged all three readings. In (b) candidates found the calculation at the beginning of the paper difficult and many gave up too early in the sequence. “Error carried forward” marks were available even if an error was made early on. In (c), most were able to identify hydrogen bonding successfully. The diagrams of the Lewis structure of ethanedioic in (d) acid were, in general, poor; the most common error was to omit the lone pairs on the O of \({\text{–O–H}}\). Very few candidates were able to give a good explanation of electron delocalization and the differences in bond lengths in ethanedioic acid and the ethanedioate ion. As one respondent suggested, candidates would have benefitted from drawing out the Lewis structure of \({\text{–OOC–CO}}{{\text{O}}^ - }\). We did not ask for this but there was nothing preventing them from doing so.
It was suggested that, in the second paragraph, we should have explicitly stated that “0.795 g of hydrated ethanedioic acid was dissolved…” We agree that this would have clarified even more the question but we believe the sense is clear from the actual question for any student with practical experience. Another teacher suggested that the question was too easy. This was not apparent in the answers seen with very few candidates getting all the way to the end without mishap.
Most had little problem with (a) but some averaged all three readings. In (b) candidates found the calculation at the beginning of the paper difficult and many gave up too early in the sequence. “Error carried forward” marks were available even if an error was made early on. In (c), most were able to identify hydrogen bonding successfully. The diagrams of the Lewis structure of ethanedioic in (d) acid were, in general, poor; the most common error was to omit the lone pairs on the O of \({\text{–O–H}}\). Very few candidates were able to give a good explanation of electron delocalization and the differences in bond lengths in ethanedioic acid and the ethanedioate ion. As one respondent suggested, candidates would have benefitted from drawing out the Lewis structure of \({\text{–OOC–CO}}{{\text{O}}^ - }\). We did not ask for this but there was nothing preventing them from doing so.
It was suggested that, in the second paragraph, we should have explicitly stated that “0.795 g of hydrated ethanedioic acid was dissolved…” We agree that this would have clarified even more the question but we believe the sense is clear from the actual question for any student with practical experience. Another teacher suggested that the question was too easy. This was not apparent in the answers seen with very few candidates getting all the way to the end without mishap.
Most had little problem with (a) but some averaged all three readings. In (b) candidates found the calculation at the beginning of the paper difficult and many gave up too early in the sequence. “Error carried forward” marks were available even if an error was made early on. In (c), most were able to identify hydrogen bonding successfully. The diagrams of the Lewis structure of ethanedioic in (d) acid were, in general, poor; the most common error was to omit the lone pairs on the O of \({\text{–O–H}}\). Very few candidates were able to give a good explanation of electron delocalization and the differences in bond lengths in ethanedioic acid and the ethanedioate ion. As one respondent suggested, candidates would have benefitted from drawing out the Lewis structure of \({\text{–OOC–CO}}{{\text{O}}^ - }\). We did not ask for this but there was nothing preventing them from doing so.
Propane and propene are members of different homologous series.
(i) Draw diagrams to show how sigma (σ) and pi (π) bonds are formed between atoms.
(ii) State the number of sigma (σ) and pi (π) bonds in propane and propene.
Construct the mechanism of the formation of 2-bromopropane from hydrogen bromide and propene using curly arrows to denote the movement of electrons.
Markscheme
i
ii
Award [1] for two or three correct answers.
Award [2] for all four correct.
curly arrow going from C=C to H of HBr and curly arrow showing Br leaving
representation of carbocation
curly arrow going from lone pair/negative charge on Br– to C+
Award [2 max] for formation of 1-bromopropane.
Examiners report
Lewis (electron dot) structures are useful models.
Draw the Lewis (electron dot) structures of PF3 and PF5 and use the VSEPR theory to deduce the molecular geometry of each species including bond angles.
Predict whether the molecules PF3 and PF5 are polar or non-polar.
State the type of hybridization shown by the phosphorus atom in PF3.
Markscheme
Accept any combination of dots, crosses and lines.
Penalize missing lone pairs once only.
Do not apply ECF for molecular geometry.
Accept values in the range 95–109 for PF3.
PF3 polar AND PF5 non-polar
Apply ECF from part (a) molecular geometry.
sp3
Examiners report
PCl5(g) and Cl2(g) were placed in a sealed flask and allowed to reach equilibrium at 200 °C. The enthalpy change, ΔH, for the decomposition of PCl5(g) is positive.

Deduce the Lewis (electron dot) structure and molecular geometry and the bond angles of PCl3.
Markscheme
Lewis structure:
Molecular geometry:
trigonal/triangular pyramidal
Bond angles:
< 109.5°
Penalize missing lone pairs once only between this question and 4(b)(ii).
Accept any combination of lines, dots or crosses to represent electrons.
Do not apply ECF.
Do not accept answer equal to or less than 90°.
Literature value is 100.1°.
[3 marks]
Examiners report
Urea, (H2N)2CO, is excreted by mammals and can be used as a fertilizer.
Urea can also be made by the direct combination of ammonia and carbon dioxide gases.
2NH3(g) + CO2(g) \( \rightleftharpoons \) (H2N)2CO(g) + H2O(g) ΔH < 0
Calculate the percentage by mass of nitrogen in urea to two decimal places using section 6 of the data booklet.
Suggest how the percentage of nitrogen affects the cost of transport of fertilizers giving a reason.
The structural formula of urea is shown.

Predict the electron domain and molecular geometries at the nitrogen and carbon atoms, applying the VSEPR theory.

Urea can be made by reacting potassium cyanate, KNCO, with ammonium chloride, NH4Cl.
KNCO(aq) + NH4Cl(aq) → (H2N)2CO(aq) + KCl(aq)
Determine the maximum mass of urea that could be formed from 50.0 cm3 of 0.100 mol dm−3 potassium cyanate solution.
State the equilibrium constant expression, Kc.
Predict, with a reason, the effect on the equilibrium constant, Kc, when the temperature is increased.
Determine an approximate order of magnitude for Kc, using sections 1 and 2 of the data booklet. Assume ΔGΘ for the forward reaction is approximately +50 kJ at 298 K.
Suggest one reason why urea is a solid and ammonia a gas at room temperature.
Sketch two different hydrogen bonding interactions between ammonia and water.
The combustion of urea produces water, carbon dioxide and nitrogen.
Formulate a balanced equation for the reaction.
Calculate the maximum volume of CO2, in cm3, produced at STP by the combustion of 0.600 g of urea, using sections 2 and 6 of the data booklet.
Describe the bond formation when urea acts as a ligand in a transition metal complex ion.
The C–N bonds in urea are shorter than might be expected for a single C–N bond. Suggest, in terms of electrons, how this could occur.
The mass spectrum of urea is shown below.

Identify the species responsible for the peaks at m/z = 60 and 44.
The IR spectrum of urea is shown below.

Identify the bonds causing the absorptions at 3450 cm−1 and 1700 cm−1 using section 26 of the data booklet.
Predict the number of signals in the 1H NMR spectrum of urea.
Predict the splitting pattern of the 1H NMR spectrum of urea.
Outline why TMS (tetramethylsilane) may be added to the sample to carry out 1H NMR spectroscopy and why it is particularly suited to this role.
Markscheme
molar mass of urea «4 \( \times \) 1.01 + 2 \( \times \) 14.01 + 12.01 + 16.00» = 60.07 «g mol-1»
«% nitrogen = \(\frac{{{\text{2}} \times {\text{14.01}}}}{{{\text{60.07}}}}\) \( \times \) 100 =» 46.65 «%»
Award [2] for correct final answer.
Award [1 max] for final answer not to two decimal places.
[2 marks]
«cost» increases AND lower N% «means higher cost of transportation per unit of nitrogen»
OR
«cost» increases AND inefficient/too much/about half mass not nitrogen
Accept other reasonable explanations.
Do not accept answers referring to safety/explosions.
[1 mark]

Note: Urea’s structure is more complex than that predicted from VSEPR theory.
[3 marks]
n(KNCO) «= 0.0500 dm3 \( \times \) 0.100 mol dm–3» = 5.00 \( \times \) 10–3 «mol»
«mass of urea = 5.00 \( \times \) 10–3 mol \( \times \) 60.07 g mol–1» = 0.300 «g»
Award [2] for correct final answer.
[2 marks]
\({K_{\text{c}}} = \frac{{[{{({{\text{H}}_2}{\text{N}})}_2}{\text{CO}}] \times [{{\text{H}}_2}{\text{O}}]}}{{{{[{\text{N}}{{\text{H}}_3}]}^2} \times [{\text{C}}{{\text{O}}_2}]}}\)
[1 mark]
«Kc» decreases AND reaction is exothermic
OR
«Kc» decreases AND ΔH is negative
OR
«Kc» decreases AND reverse/endothermic reaction is favoured
[1 mark]
ln K « = \(\frac{{ - \Delta {G^\Theta }}}{{RT}} = \frac{{ - 50 \times {{10}^3}{\text{ J}}}}{{8.31{\text{ J }}{{\text{K}}^{ - 1}}{\text{ mo}}{{\text{l}}^{ - 1}} \times 298{\text{ K}}}}\) » = –20
«Kc =» 2 \( \times \) 10–9
OR
1.69 \( \times \) 10–9
OR
10–9
Accept range of 20-20.2 for M1.
Award [2] for correct final answer.
[2 marks]
Any one of:
urea has greater molar mass
urea has greater electron density/greater London/dispersion
urea has more hydrogen bonding
urea is more polar/has greater dipole moment
Accept “urea has larger size/greater van der Waals forces”.
Do not accept “urea has greater intermolecular forces/IMF”.
[1 mark]

Award [1] for each correct interaction.
If lone pairs are shown on N or O, then the lone pair on N or one of the lone pairs on O MUST be involved in the H-bond.
Penalize solid line to represent H-bonding only once.
[2 marks]
2(H2N)2CO(s) + 3O2(g) → 4H2O(l) + 2CO2(g) + 2N2(g)
correct coefficients on LHS
correct coefficients on RHS
Accept (H2N)2CO(s) + \(\frac{3}{2}\)O2(g) → 2H2O(l) + CO2(g) + N2(g).
Accept any correct ratio.
[2 marks]
«V = \(\frac{{{\text{0.600 g}}}}{{{\text{60.07 g mo}}{{\text{l}}^{ - 1}}}}\) \( \times \) 22700 cm3 mol–1 =» 227 «cm3»
[1 mark]
lone/non-bonding electron pairs «on nitrogen/oxygen/ligand» given to/shared with metal ion
co-ordinate/dative/covalent bonds
[2 marks]
lone pairs on nitrogen atoms can be donated to/shared with C–N bond
OR
C–N bond partial double bond character
OR
delocalization «of electrons occurs across molecule»
OR
slight positive charge on C due to C=O polarity reduces C–N bond length
[1 mark]
60: CON2H4+
44: CONH2+
Accept “molecular ion”.
[2 marks]
3450 cm–1: N–H
1700 cm–1: C=O
Do not accept “O–H” for 3450 cm–1.
[2 marks]
1
[2 marks]
singlet
Accept “no splitting”.
[1 mark]
acts as internal standard
OR
acts as reference point
one strong signal
OR
12 H atoms in same environment
OR
signal is well away from other absorptions
Accept “inert” or “readily removed” or “non-toxic” for M1.
[2 marks]
Examiners report
Phosphine (IUPAC name phosphane) is a hydride of phosphorus, with the formula PH3.
(i) Draw a Lewis (electron dot) structure of phosphine.
(ii) State the hybridization of the phosphorus atom in phosphine.
(iii) Deduce, giving your reason, whether phosphine would act as a Lewis acid, a Lewis base, or neither.
(iv) Outline whether you expect the bonds in phosphine to be polar or non-polar, giving a brief reason.
(v) Phosphine has a much greater molar mass than ammonia. Explain why phosphine has a significantly lower boiling point than ammonia.
(vi) Ammonia acts as a weak Brønsted–Lowry base when dissolved in water.
Outline what is meant by the terms “weak” and “Brønsted–Lowry base”.
Weak:
Brønsted–Lowry base:
Phosphine is usually prepared by heating white phosphorus, one of the allotropes of phosphorus, with concentrated aqueous sodium hydroxide. The equation for the reaction is:
(i) The first reagent is written as P4, not 4P. Describe the difference between P4 and 4P.
(ii) The ion H2PO2− is amphiprotic. Outline what is meant by amphiprotic, giving the formulas of both species it is converted to when it behaves in this manner.
(iii) State the oxidation state of phosphorus in P4 and H2PO2−.
P4:
H2PO2−:
(iv) Oxidation is now defined in terms of change of oxidation number. Explore how earlier definitions of oxidation and reduction may have led to conflicting answers for the conversion of P4 to H2PO2− and the way in which the use of oxidation numbers has resolved this.
2.478 g of white phosphorus was used to make phosphine according to the equation:
(i) Calculate the amount, in mol, of white phosphorus used.
(ii) This phosphorus was reacted with 100.0 cm3 of 5.00 mol dm−3 aqueous sodium hydroxide. Deduce, showing your working, which was the limiting reagent.
(iii) Determine the excess amount, in mol, of the other reagent.
(iv) Determine the volume of phosphine, measured in cm3 at standard temperature and pressure, that was produced.
Impurities cause phosphine to ignite spontaneously in air to form an oxide of phosphorus and water.
(i) 200.0 g of air was heated by the energy from the complete combustion of 1.00 mol phosphine. Calculate the temperature rise using section 1 of the data booklet and the data below.
Standard enthalpy of combustion of phosphine,
Specific heat capacity of air = 1.00Jg−1K−1=1.00kJkg−1K−1
(ii) The oxide formed in the reaction with air contains 43.6% phosphorus by mass. Determine the empirical formula of the oxide, showing your method.
(iii) The molar mass of the oxide is approximately 285 g mol−1. Determine the molecular formula of the oxide.
(iv) State the equation for the reaction of this oxide of phosphorus with water.
(v) Suggest why oxides of phosphorus are not major contributors to acid deposition.
(vi) The levels of sulfur dioxide, a major contributor to acid deposition, can be minimized by either pre-combustion and post-combustion methods. Outline one technique of each method.
Pre-combustion:
Post-combustion:
Markscheme
(i)
Accept structures using dots and/or crosses to indicate bonds and/or lone pair.
(ii)
sp3
Do not allow ECF from a (i).
(iii)
Lewis base AND has a lone pair of electrons «to donate»
(iv)
non-polar AND P and H have the same electronegativity
Accept “similar electronegativities”.
Accept “polar” if there is a reference to a small difference in electronegativity and apply ECF in 1 a (v).
(v)
PH3 has London «dispersion» forces
NH3 forms H-bonds
H-bonds are stronger
OR
London forces are weaker
Accept van der Waals’ forces, dispersion forces and instantaneous dipole – induced dipole forces.
Accept “dipole-dipole forces” as molecule is polar.
H-bonds in NH3 (only) must be mentioned to score [2].
Do not award M2 or M3 if:
• implies covalent bond is the H-bond
• implies covalent bonds break.
Accept “dipole-dipole forces are weaker”.
(vi)
Weak: only partially dissociated/ionized «in dilute aqueous solution»
Brønsted–Lowry base: an acceptor of protons/H+/hydrogen ions
Accept reaction with water is reversible/an equilibrium.
Accept “water is partially dissociated «by the weak base»”.
(i)
P4 is a molecule «comprising 4P atoms» AND 4P is four/separate «P» atoms
OR
P4 represents «4P» atoms bonded together AND 4P represents «4» separate/non-bonded «P» atoms
(ii)
can act as both a «Brønsted–Lowry» acid and a «Brønsted–Lowry» base
OR
can accept and/or donate a hydrogen ion/proton/H+
HPO22– AND H3PO2
(iii)
P4: 0
H2PO2–: +1
Do not accept 1 or 1+ for H2PO2−.
(iv)
oxygen gained, so could be oxidation
hydrogen gained, so could be reduction
OR
negative charge «on product/H2PO2 »/gain of electrons, so could be reduction
oxidation number increases so must be oxidation
Award [1 max] for M1 and M2 if candidate displays knowledge of at least two of these definitions but does not apply them to the reaction.
Do not award M3 for “oxidation number changes”.
(i)
«\(\left\langle {\frac{{2.478}}{{4 \times 30.97}}} \right\rangle \)»= 0.02000 «mol»
(ii)
n(NaOH) = «0.1000 × 5.00 =» 0.500 «mol» AND P4/phosphorus is limiting reagent
Accept n(H2O) = \(\frac{{100}}{{18}}\) = 5.50 AND P4 is limiting reagent.
(iii)
amount in excess «= 0.500 - (3 × 0.02000)» = 0.440 «mol»
(iv)
«22.7 × 1000 × 0.02000» = 454 «cm3»
Accept methods employing pV = nRT, with p as either 100 (454 cm3) or 101.3 kPa (448 cm3). Do not accept answers in dm3.
(i)
temperature rise «=\(\frac{{750 \times 1.00}}{{0.2000 \times 1.00}}\)»=3750«°C/K»
Do not accept −3750.
(ii)
n(P)«=\(\frac{{43.6}}{{30.97}}\)»=1.41 «mol»
n(O) «=\(\frac{{100 - 43.6}}{{16.00}}\)»=3.53 «mol»
«\(\frac{{n\left( {\rm{O}} \right)}}{{n\left( {\rm{P}} \right)}}\)=\(\frac{{3.53}}{{1.41}}\) = 2.50 so empirical formula is» P2O5
Accept other methods where the working is shown.
(iii)
«\(\frac{{285}}{{141.9}}\)=2.00, so molecular formula = 2×P2O5=»P4O10
(iv)
P4O10(s) + 6H2O (l) → 4H3PO4 (aq)
Accept P4O10(s) + 2H2O (l) → 4HPO3 (aq) (initial reaction)
Accept P2O5(s) + 3H2O(l) → 2H3PO4(aq)
Accept equations for P4O6/P2O3 if given in d (iii).
Accept any ionized form of the acids as the products.
(v)
phosphorus not commonly found in fuels
OR
no common pathways for phosphorus oxides to enter the air
OR
amount of phosphorus-containing organic matter undergoing anaerobic decomposition is small
Accept “phosphorus oxides are solids so are not easily distributed in the atmosphere”.
Accept “low levels of phosphorus oxide in the air”.
Do not accept “H3PO4 is a weak acid”.
(vi)
Pre-combustion:
remove sulfur/S/sulfur containing compounds
Post-combustion:
remove it/SO2 by neutralization/reaction with alkali/base
Accept “lime injection fluidised bed combustion” for either, but not both.
Examiners report
A compound with a molecular formula C7H14O produced the following high resolution 1H NMR spectrum.
Deduce what information can be obtained from the 1H NMR spectrum.
Identify the functional group that shows stretching at 1710 cm–1 in the infrared spectrum of this compound using section 26 of the data booklet and the 1H NMR.
Suggest the structural formula of this compound.
Bromine was added to hexane, hex-1-ene and benzene. Identify the compound(s) which will react with bromine in a well-lit laboratory.
Deduce the structural formula of the main organic product when hex-1-ene reacts with hydrogen bromide.
State the reagents and the name of the mechanism for the nitration of benzene.
Outline, in terms of the bonding present, why the reaction conditions of halogenation are different for alkanes and benzene.
Below are two isomers, A and B, with the molecular formula C4H9Br.
Explain the mechanism of the nucleophilic substitution reaction with NaOH(aq) for the isomer that reacts almost exclusively by an SN2 mechanism using curly arrows to represent the movement of electron pairs.
Markscheme
Number of hydrogen environments: 3
Ratio of hydrogen environments: 2:3:9
Splitting patterns: «all» singlets
Accept any equivalent ratios such as 9:3:2.
Accept “no splitting”.
[3 marks]
carbonyl
OR
C=O
Accept “ketone” but not “aldehyde”.
[1 mark]
Accept (CH3)3CCH2COCH3.
Award [1] for any aldehyde or ketone with C7H14O structural formula.
[2 marks]
hexane AND hex-1-ene
Accept “benzene AND hexane AND hex-1-ene”.
[1 mark]
CH3CH2CH2CH2CHBrCH3
Accept displayed formula but not molecular formula.
[1 mark]
Reagents: «concentrated» sulfuric acid AND «concentrated» nitric acid
Name of mechanism: electrophilic substitution
[2 marks]
benzene has «delocalized» \(\pi \) bonds «that are susceptible to electrophile attack» AND alkanes do not
Do not accept “benzene has single and double bonds”.
[1 mark]
curly arrow going from lone pair/negative charge on O in –OH to C
curly arrow showing Br leaving
representation of transition state showing negative charge, square brackets and partial bonds
Accept OH– with or without the lone pair.
Do not allow curly arrows originating on H in OH–.
Accept curly arrows in the transition state.
Do not penalize if HO and Br are not at 180°.
Do not award M3 if OH–C bond is represented.
Award [2 max] if wrong isomer is used.
[3 marks]
Examiners report
The reaction between hydrogen and nitrogen monoxide is thought to proceed by the mechanism shown below.
(i) State the equation for the overall reaction.
(ii) Deduce the rate expression consistent with this mechanism.
(iii) Explain how you would attempt to confirm this rate expression, giving the results you would expect.
(iv) State, giving your reason, whether confirmation of the rate expression would prove that the mechanism given is correct.
(v) Suggest how the rate of this reaction could be measured experimentally.
The enthalpy change for the reaction between nitrogen monoxide and hydrogen is −664 kJ and its activation energy is 63 kJ.
(i) Sketch the potential energy profile for the overall reaction, using the axes given, indicating both the enthalpy of reaction and activation energy.
(ii) This reaction is normally carried out using a catalyst. Draw a dotted line labelled “Catalysed” on the diagram above to indicate the effect of the catalyst.
(iii) Sketch and label a second Maxwell–Boltzmann energy distribution curve representing the same system but at a higher temperature, Thigher.
(iv) Explain why an increase in temperature increases the rate of this reaction.
One of the intermediates in the reaction between nitrogen monoxide and hydrogen is dinitrogen monoxide, N2O. This can be represented by the resonance structures below:
(i) Analyse the bonding in dinitrogen monoxide in terms of σ-bonds and Δ-bonds.
(ii) State what is meant by resonance.
Markscheme
(i)
2NO(g) + 2H2(g) → N2(g) + 2H2O(g)
(ii)
rate = k [NO]2[H2]
(iii)
test the effect «on the reaction rate» of varying each concentration «independently»
OR
test the effect of varying [NO] «on rate», whilst keeping [H2] constant AND test effect of varying [H2] «on rate», whilst keeping [NO] constant
rate proportional to [NO]2
OR
doubling [NO] quadruples rate
rate proportional to [H2]
OR
doubling [H2] doubles rate
Remember to refer back to a (ii) for ECF.
If only one species in rate expression, third mark can be awarded for zero order discussion.
(iv)
no AND different mechanisms could give the same rate expression
OR
no AND mechanisms can only be disproved
OR
no AND just suggest it is consistent with the mechanism given
OR
no AND does not give information about what occurs after RDS
(v)
change of pressure «at constant volume and temperature» with time
OR
change of volume «at constant pressure and temperature» with time
Accept other methods where rate can be monitored with time
(i)
products lower than reactants AND enthalpy of reaction correctly marked and labelled with name or value
activation energy correctly marked and labelled with name or value
Accept other clear ways of indicating energy/ enthalpy changes.
(ii)
lower dotted curve, between same reactants and products levels, labelled “Catalysed”
(iii)
second curve at a higher temperature is correctly drawn (maximum lower and to right of original)
(iv)
greater proportion of molecules have E ≥ Ea or E > Ea
OR
greater area under curve to the right of the Ea
greater frequency of collisions «between molecules»
OR
more collisions per unit time/second
Do not accept just particles have greater kinetic energy.
Do not accept just “more collisions”.
(i)
ALTERNATIVE 1:
σ-bond from N to N AND from N to O
π-bond from N to N
delocalized π-bond/π-electrons «extending over the oxygen and both nitrogens»
ALTERNATIVE 2:
both have 2 σ-bonds «from N to N and from N to O» AND π-bond from N to N
one structure has second π-bond from N to N and the other has π-bond from N to O
delocalized π-bond/π-electrons
Award [1 max] if candidate has identified both/either structure having 2 σ-bonds and 2 π-bonds
(ii)
more than one possible position for a multiple/π-/pi- bond
Accept “more than one possible Lewis structure”.
Accept reference to delocalisation if M3 not awarded in c (i).
Accept reference to fractional bond orders.